• Предмет: Геометрия
  • Автор: HIpsTER22
  • Вопрос задан 2 года назад

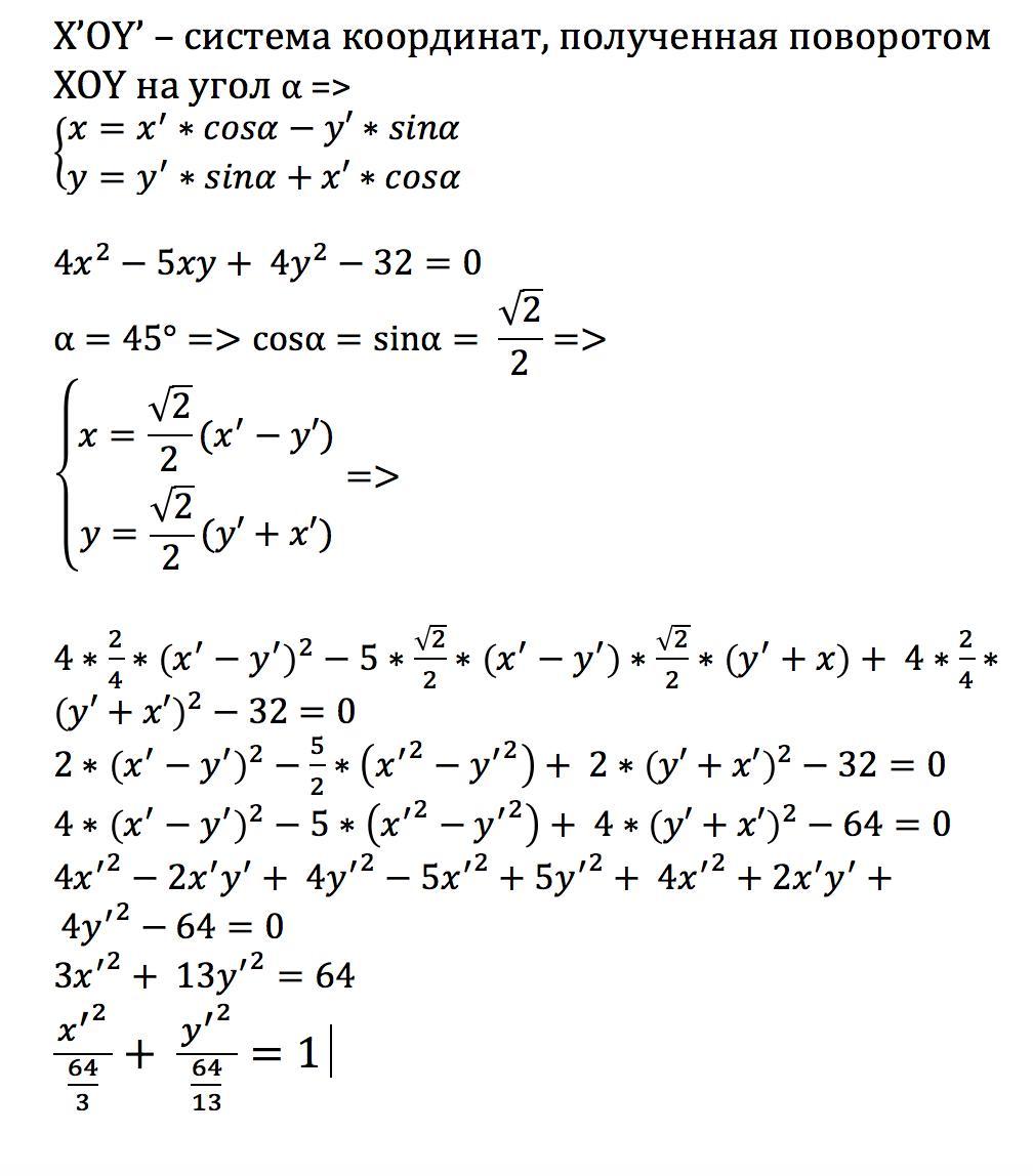
Поворотом осей на 45 градусов упростите уравнение эллипса 4x^{2} - 5xy + 4x^{2} -32=0

Ответы

Ответ дал: Nastya808080
1

Ответ:

\frac{x^{2} }{\frac{64}{3} } +\frac{y^{2} }{\frac{64}{13} } = 1

Объяснение:

Полагаю, что дано было уравнение 4x² - 5xy + 4y² - 32 = 0, т.к. 4x² - 5xy + 4x² - 32 = 0 - не является уравнением эллипса

Приложения:
Вас заинтересует