• Предмет: Геометрия
  • Автор: Аноним
  • Вопрос задан 2 года назад

1)Определите остроугольным,прямоугольным, тупоугольным является треугольник со сторонами:
1) 3 см, 4 см, 6 см
2) 5 см, 6 см, 7 см
3)16 см, 30 см, 34 см
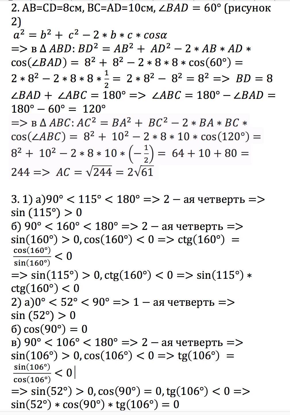
2) Стороны параллелограма равны 8 и 10 см, а один из углов равен 60. Найдите диагонали.
3) Сравните с нулем значения:
1) sin 115 ctg 160
2) sin 52 cos 90 tg 106

Ответы

Ответ дал: Nastya808080
2

Ответ:

1. 1) тупоугольный

2) остроугольный

3) прямоугольный

2. 8 и 2\sqrt{61}

3. 1) sin(115°) * ctg(160°) < 0

2) sin(52°) * cos(90°) * tg(106°) = 0

Объяснение:

Приложения:
Вас заинтересует