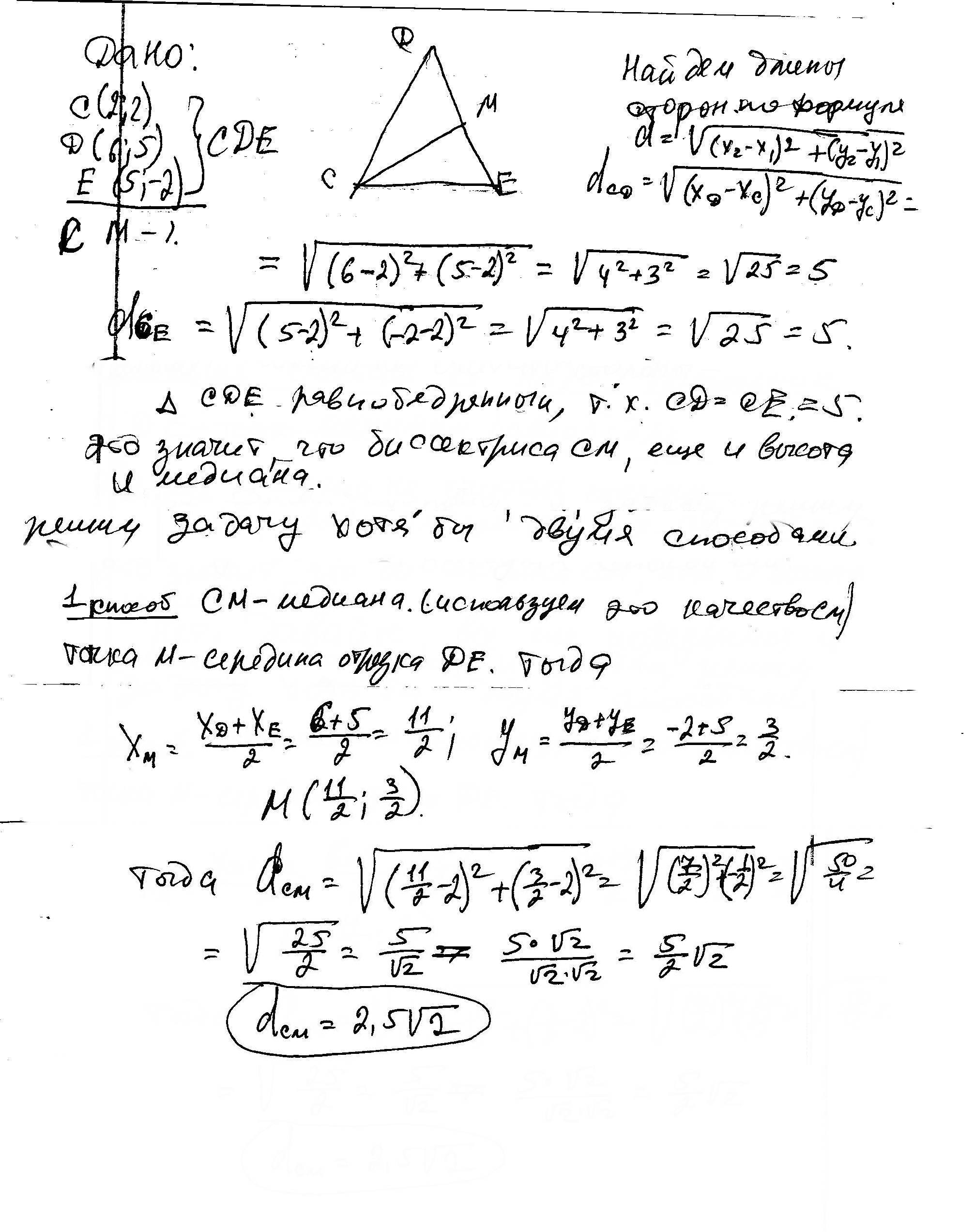
1)Треугольник CDE задан координатами своих вершин: C(2;2); D(6;5); E(5;-2)а) докажите что треугольник CDE -равнобедренный
б)найти биссектрису проведенную из вершины C
2)Найдите координаты точки А лежащей на оси ординат и равноудаленной от точек В(1;-3) и С(2;0)
Ответы
Ответ дал:
0
Тут, собственно, самой задачки мало. Остальное - просто интересно.
Приложения:


Вас заинтересует
2 года назад
2 года назад
8 лет назад
10 лет назад
10 лет назад
10 лет назад