1.11. Представьте выражение а20, где а≠ 0, в виде степени с основа-
нием:
1) а⁴;
2) а-^5;
3) 1/а²;
4) 1/а-⁴. Помогите пожалуйста срочно надо дам 10 балов за быстрый ответ
Ответы
Ответ дал:
22
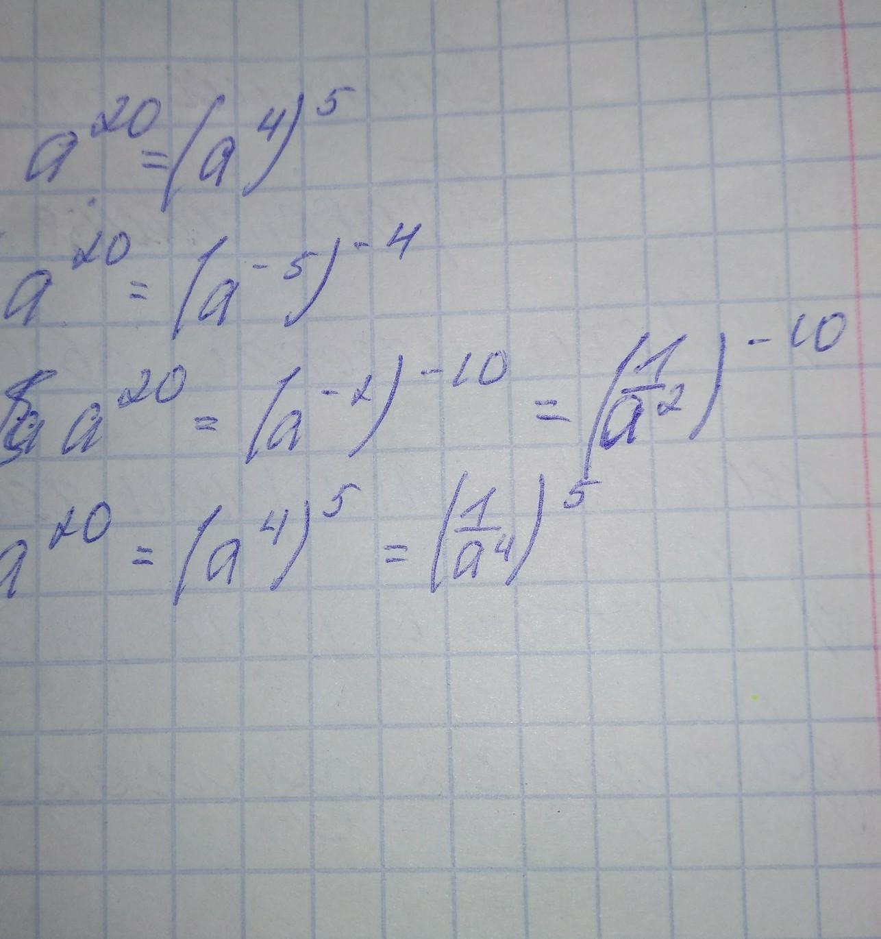
1. а^4=(а^4)^5=а^20
2. а^-5=(а^-5)^-4=а^20
3. 1/а^=(а^-2)^-10=(1/а^2)^-10=а^20
4. 1/а^-4=(а^4)^5=(1/а^4)^5=а^20
Приложения:

Вас заинтересует
1 год назад
1 год назад
2 года назад
2 года назад
3 года назад
8 лет назад
8 лет назад