• Предмет: Алгебра
  • Автор: ejwjdjdorwiwksks
  • Вопрос задан 2 года назад

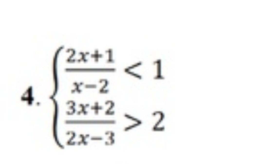
Хелпаните..............

Приложения:

Ответы

Ответ дал: manyny06
0

Ответ: решение смотри на фотографии

Объяснение:

Приложения:
Вас заинтересует