• Предмет: Алгебра
  • Автор: Hunta123
  • Вопрос задан 2 года назад

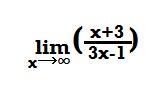
Найти указанные пределы

Приложения:

Ответы

Ответ дал: igorShap
0

\lim_{x \to \infty} \dfrac{x+3}{3x-1}= \lim_{x \to \infty} \dfrac{1+\frac{3}{x}}{3-\frac{1}{x}}=\dfrac{1}{3}

Вас заинтересует