• Предмет: Алгебра
  • Автор: Hunta123
  • Вопрос задан 2 года назад

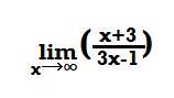
Найти указанные пределы

Приложения:

Ответы

Ответ дал: solving05
0

Ответ:

Объяснение:

\lim_{x \to \infty} \frac{x+3}{3x-1}=\lim_{x \to \infty} \frac{x(1+3/x)}{x(3-1/x)}=\\ =\lim_{x \to \infty} \frac{1+3/x}{3-1/x}=1/3

Ответ дал: PrЯnicheg
0

Решение во вложении...

Приложения:
Вас заинтересует