Ответы
Ответ дал:
0
Ответ дал:
0
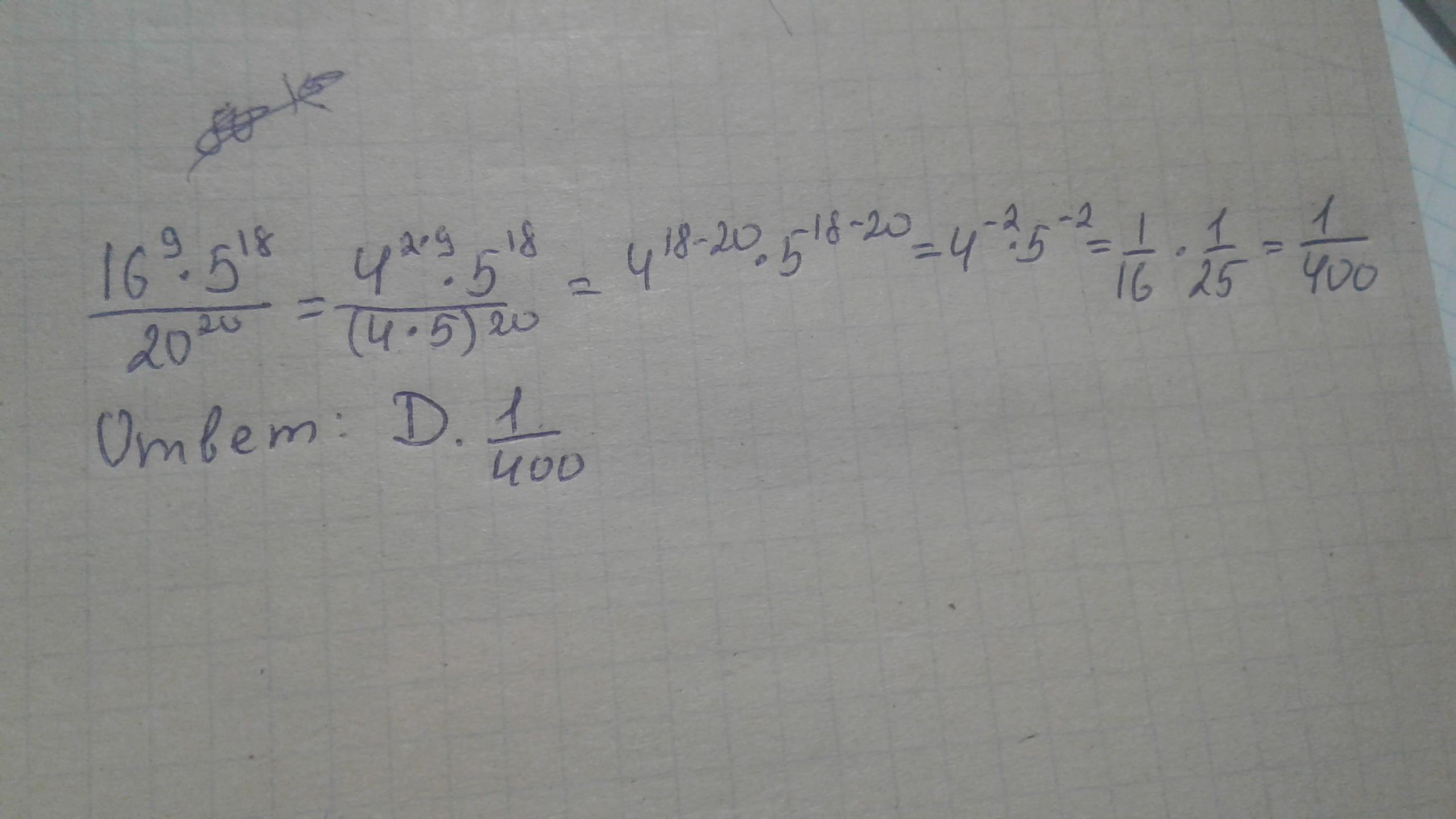
Ответ: D. 1/400
Объяснение:
Получается нужно разложить 16 и 20 на 4 и 4 умножить на 5. После работаешь со степенями и решаешь.
Приложения:

Вас заинтересует
1 год назад
2 года назад
3 года назад
3 года назад
8 лет назад