• Предмет: Алгебра
  • Автор: marziyatmuslimova
  • Вопрос задан 2 года назад

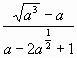
помогите пожалуйста, сократите дробь

Приложения:

Ответы

Ответ дал: Аноним
0

Ответ:

a/(√a -1)

Объяснение:

(√a³ -a)/(a-2a^(1/2) +1)=(√(a²·a) -a)/(√a -1)²=(a√a -a)/(√a -1)²=a(√a -1)/(√a -1)²=a/(√a -1)

Вас заинтересует