Ответы
Ответ дал:
1
Ответ:
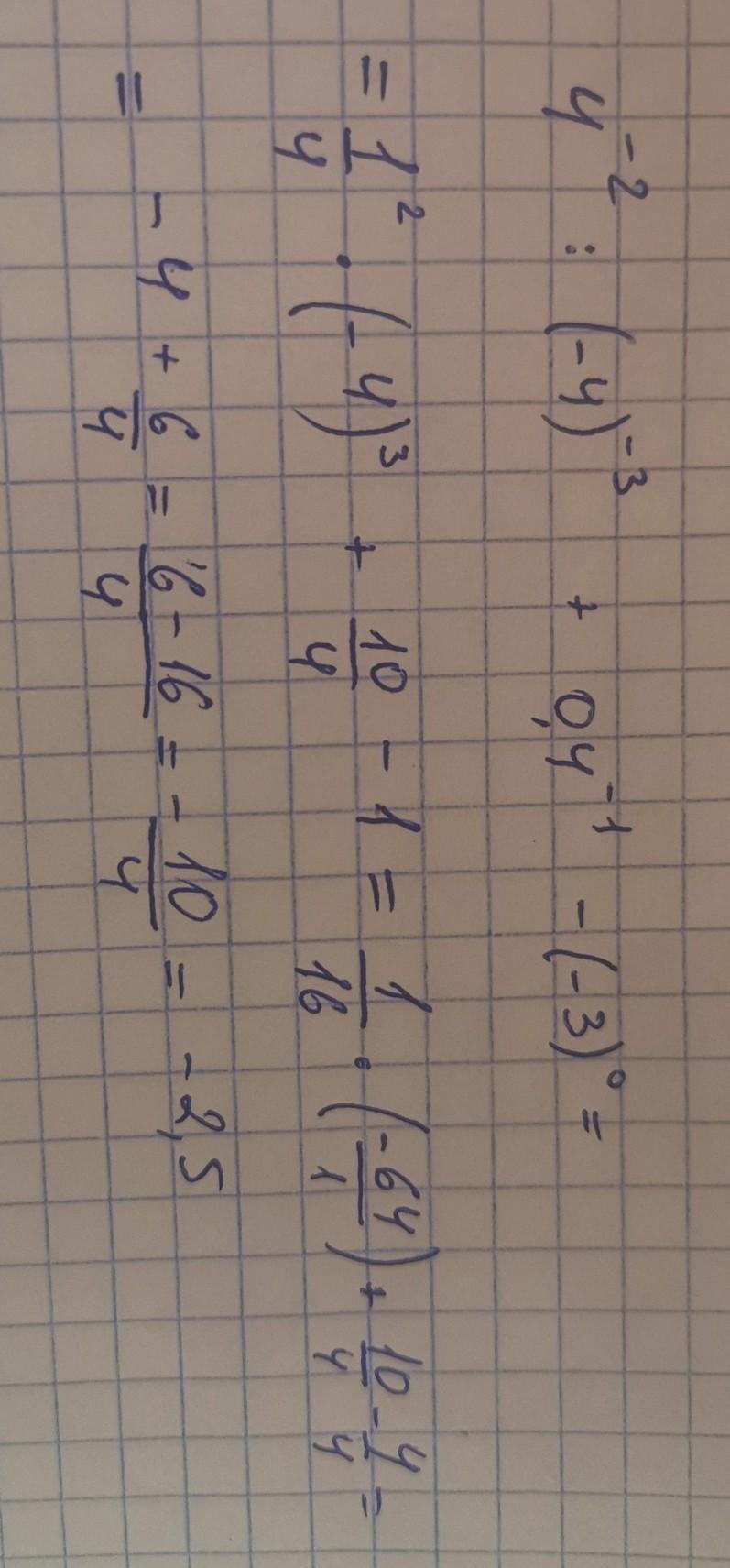
При возведении числа в отрицательную степень-дробь переворачивается. Потом уже складываем все, y меня получилось -2,5 вроде все должно быть правильно
Приложения:

Вас заинтересует
1 год назад
1 год назад
2 года назад
2 года назад
3 года назад
8 лет назад