• Предмет: Алгебра
  • Автор: mashaaa98
  • Вопрос задан 2 года назад

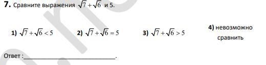
задание на скриншоте

Приложения:

Ответы

Ответ дал: vanya44985
0
Невозможно сравнить
Ответ дал: jdjajejakeooe
0
Ответ номер четвёртый
Вас заинтересует