• Предмет: Математика
  • Автор: Maria1382829192
  • Вопрос задан 2 года назад

Помогите,прошу
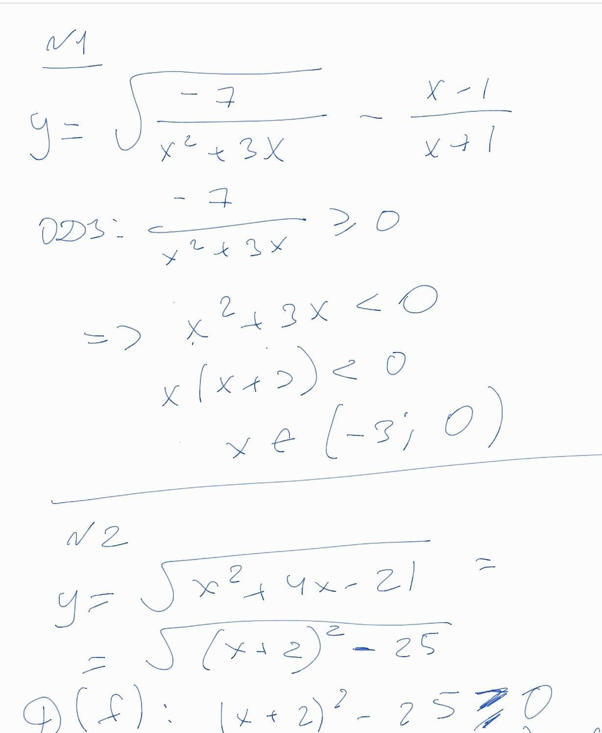
Вариант 3

Приложения:

Ответы

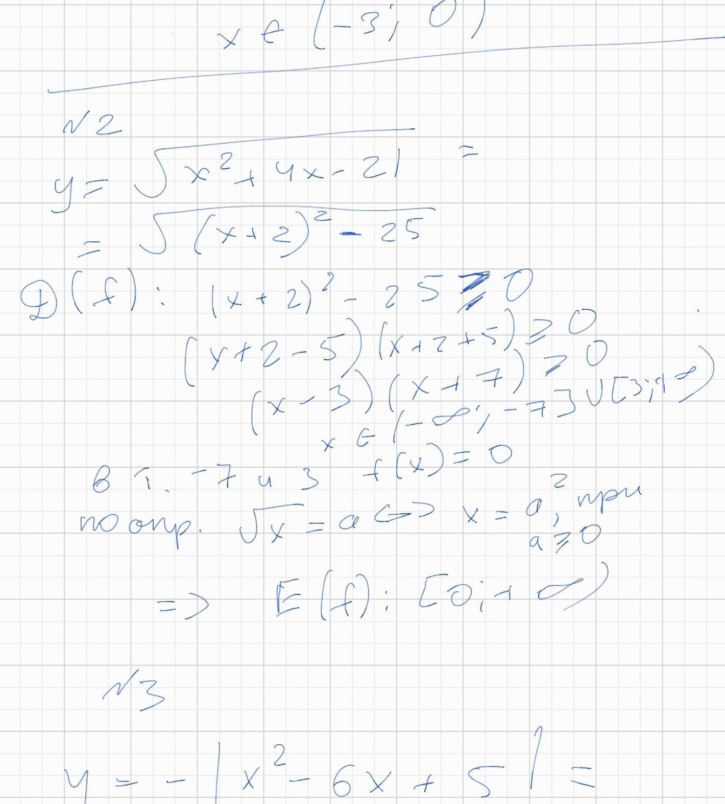
Ответ дал: rusfiz
1

Ответ:

..........................................

Приложения:

Maria1382829192: Спасибо огромное ♥️♥️♥️♥️♥️
Вас заинтересует