• Предмет: Математика
  • Автор: llasmos
  • Вопрос задан 2 года назад

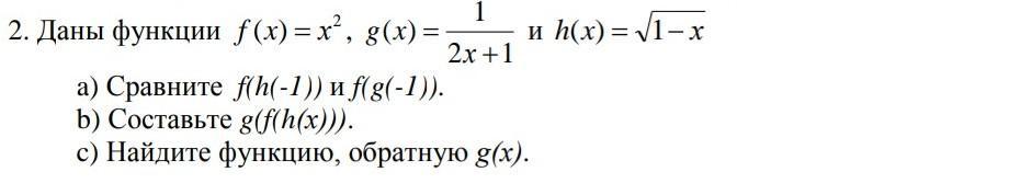
Помогите решить функции​

Приложения:

Ответы

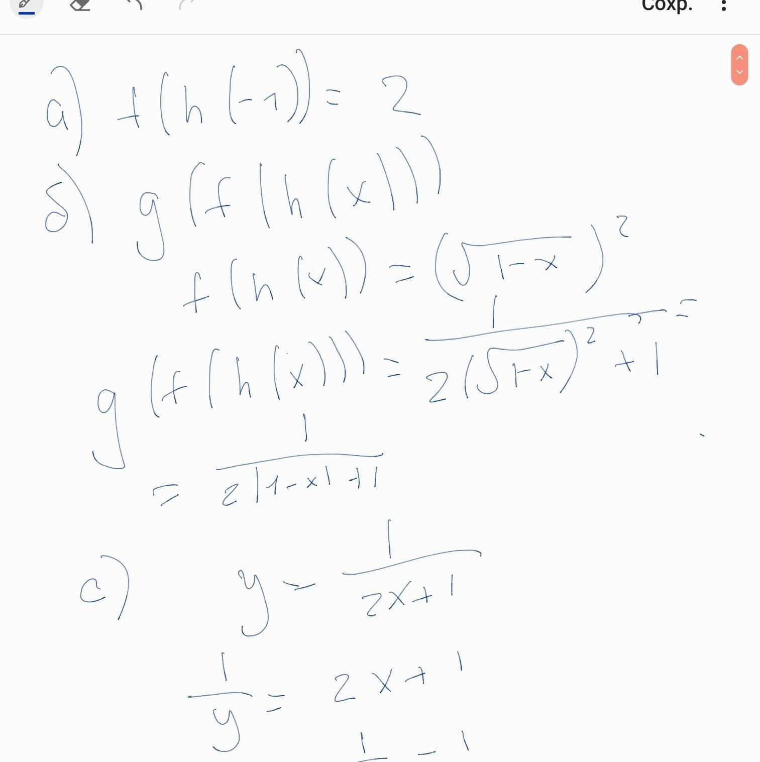
Ответ дал: rusfiz
1

................................

Приложения:
Вас заинтересует