• Предмет: Математика
  • Автор: qwerty0585
  • Вопрос задан 2 года назад

30баллов!!!!!!!!! плииииз помогите!!!!?!!!!​

Приложения:

29sabina: спс
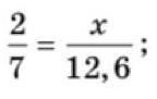
29sabina: 7x=12,6*2 7x=25,2. x=25,2:7. x=3,6

Ответы

Ответ дал: mansursadiev0
3

x=12,6*2/7 12,6 и 7 мы сокращаем на 7 и умножаем на 2;

Х=3,6

Ответ дал: Reideen
5

 \frac{2}{7}  =  \frac{x}{12.6}  \\ x =  \frac{2 \times 12.6}{7}  =  \frac{2 \times 126}{7 \times 10}  =  \frac{18}{5} = 3.6

Вас заинтересует