Ответы
Ответ:
Ответ в объяснении
Объяснение:
1)Кинематика в физике — раздел механики, изучающий математическое описание движения идеализированных тел, без рассмотрения причин движения.
2)Материальная точка — обладающее массой тело, размерами, формой, вращением и внутренней структурой которого можно пренебречь в условиях исследуемой задачи.
3)Абсолютно твёрдое тело — модельное понятие классической механики, обозначающее совокупность точек, расстояния между текущими положениями которых не изменяются, каким бы воздействиям данное тело в процессе движения ни подвергалось.
4)Система отсчёта — это совокупность неподвижных относительно друг друга тел (тело отсчёта), по отношению к которым рассматривается движение (в связанной с ними системе координат) и отсчитывающих время часов (системы отсчёта времени), по отношению к которой рассматривается движение каких-либо тел.
5)Траектория — линия в пространстве, по которой движется тело, представляющая собой множество точек, в которых находилась, находится или будет находиться материальная точка при своём перемещении в пространстве относительно выбранной системы отсчёта.
6)Механическое движение – это изменение положения тела в пространстве относительно других тел.
7)Основная задача механики - научиться точно определять положение тела в пространстве в любой момент времени.
8)Путь - это длина траектории. То есть длина той, возможно, кривой линии, по которой двигалось тело.
Обозначение: рис1
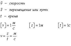
Формула : рис2
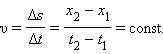
9)Перемещение - векторная величина! Это вектор, который проведен из начальной точки отправления тела в конечную точку. Имеет численное значение, равное длине вектора. Путь и перемещение - это существенно разные физические величины.
Обозначение: рис1
10)Равномерное прямолинейное движение – это движение, при котором тело за равные промежутки времени совершает одинаковые перемещения.
11)При равномерном движении величина скорости точки остаётся неизменной.
Формула: рис3
12)x=x₀ +V⋅t, где
x — координата тела в текущий момент времени,
x0 — координата тела в начальный момент времени,
V — скорость тела,
t — время движения
13)x=x₀ +V⋅t
14)Равноускоренное прямолинейное движение — это движение, при котором скорость тела за любые равные промежутки времени изменяется одинаково, т. е. это движение с постоянным по модулю и направлению ускорением.
15)Ускоре́ние — физическая величина, определяющая быстроту изменения скорости тела, то есть первая производная от скорости по времени.
Обозначение латинской буквой - a
16)υ = υ0 + at
17)x=x₀ +V⋅t
18)Свобо́дное падение — равнопеременное движение под действием силы тяжести, когда другие силы, действующие на тело, отсутствуют или пренебрежимо малы = 9.8
19)х= υ0⋅t
рис4
20)рис5
21)Угол поворота может выражаться в градусах любым действительным числом в промежутке от − ∞ до + ∞
22)Период обращения — это время, за которое совершается один оборот.
рис6
23)Частота обращения — это число оборотов, совершаемых за 1 с
рис7
24)рис8 9
25)an=v2/R
26)рис 10 11




