• Предмет: Алгебра
  • Автор: Ar1q
  • Вопрос задан 2 года назад

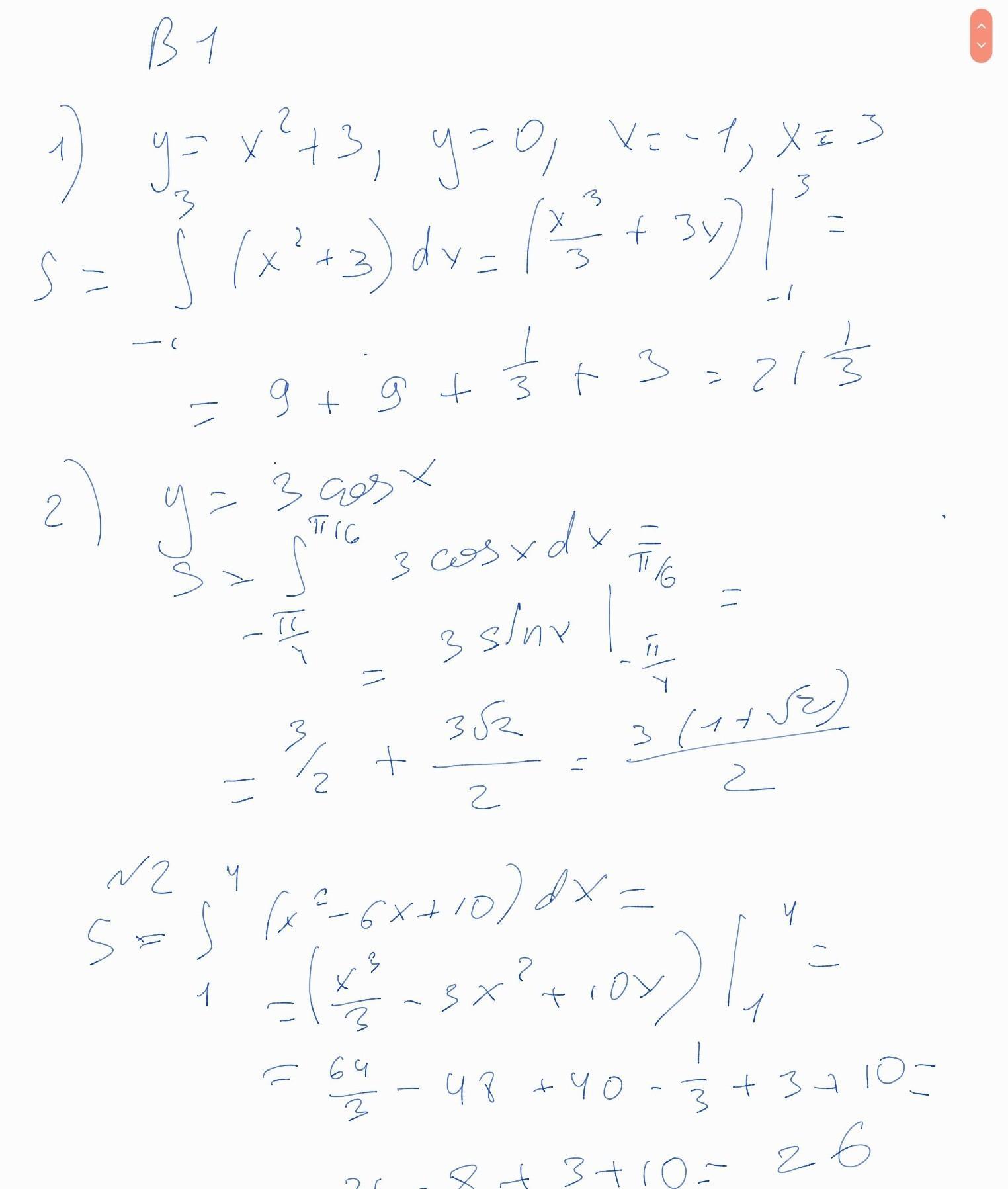
ПОМОГИТЕ ПОЖАЛУЙСТА 1 вариант

Приложения:

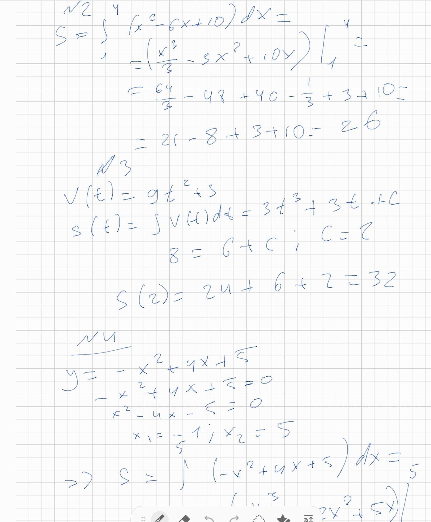
Ответы

Ответ дал: rusfiz
1

Ответ:

..............................обязательно проверьте

Приложения:
Вас заинтересует