• Предмет: Алгебра
  • Автор: GNN666
  • Вопрос задан 2 года назад

решить уравнение
1) x³-4x²+x+6=0
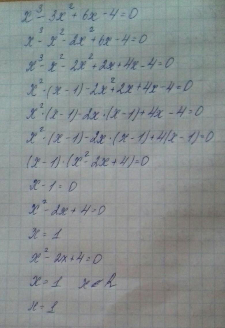
2) x³-3x²+6x-4=0

Ответы

Ответ дал: keinelust1
1

Ответ:

Ну, как-то так, штоли)

Приложения:

GNN666: а откуда 5x²
keinelust1: это -4х^2 в виде разности
Вас заинтересует