• Предмет: Математика
  • Автор: nwjdich
  • Вопрос задан 2 года назад

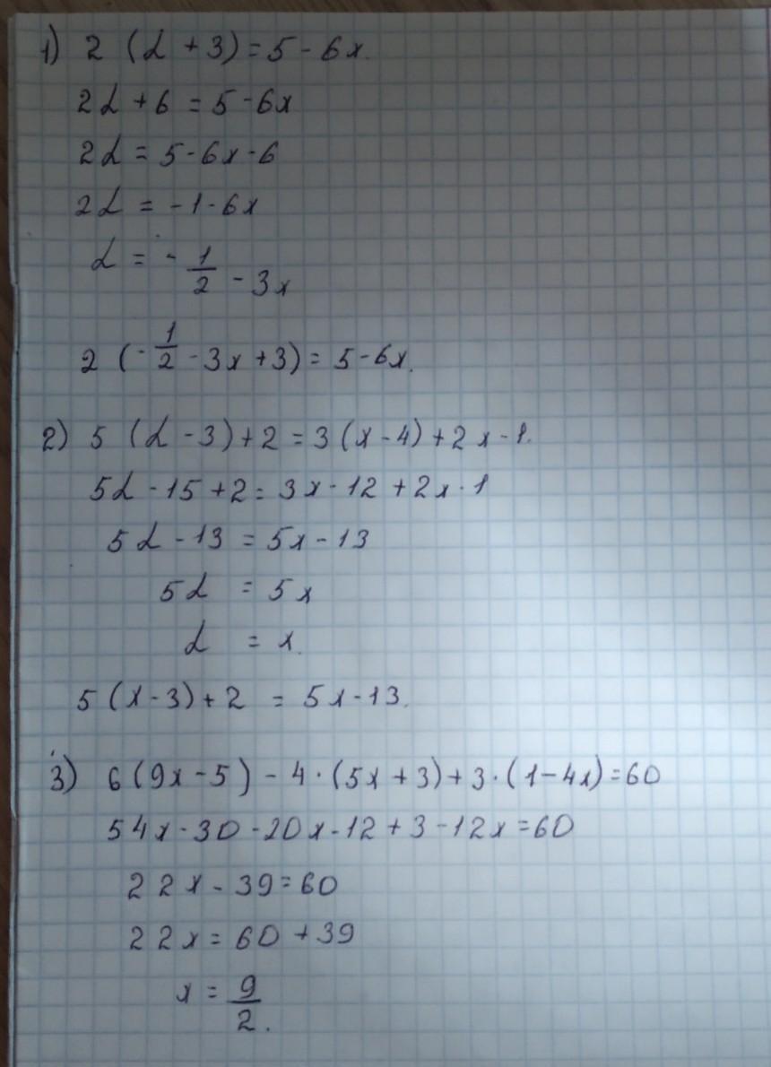
Помогите решить 1 - 3

Приложения:

Ответы

Ответ дал: nazka0001
0

Ответ:

вот решение )))))))))))

Приложения:
Вас заинтересует