• Предмет: Математика
  • Автор: emina3767
  • Вопрос задан 2 года назад

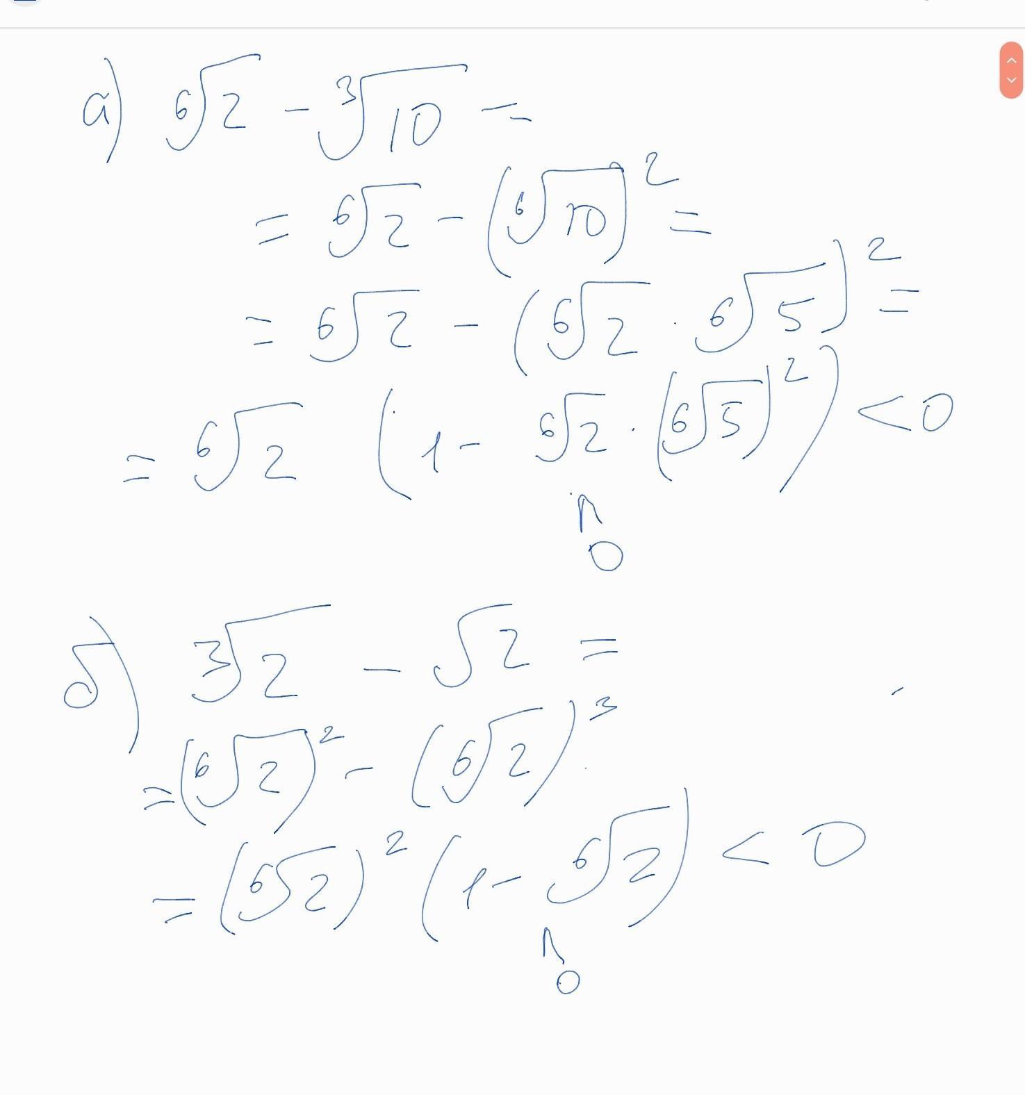
Определите знак разности
Пункт а и б
Задание 38
Пожалуйста, срочно♡

Приложения:

Ответы

Ответ дал: rusfiz
2

Ответ:

.......?..................

Приложения:

emina3767: Спасибо вам огромное!>
Вас заинтересует