Ответы
Ответ дал:
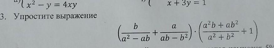
1
решение:
*******************
*******************
Приложения:

konstantinseblevskij:
Ответ не вергый
Вас заинтересует
1 год назад
1 год назад
2 года назад
3 года назад
8 лет назад