• Предмет: Математика
  • Автор: frekinbok97
  • Вопрос задан 11 лет назад

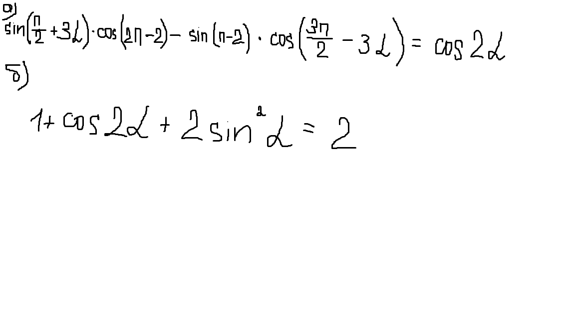
ДОКАЖИТЕ ТОЖДЕСТВА 

Приложения:

Ответы

Ответ дал: Матов
0
1) не понятно что такое 2, если это в градусах то неверное тождество 
2)1+cos2a+2sin^2a=2\
1+(2cos^2a-1)+2sin^2a=2\
1+2cos^2a-1+2sin^2a=2\
1+2-1=2\
2=2
Вас заинтересует