• Предмет: Алгебра
  • Автор: Nyakca
  • Вопрос задан 2 года назад

30 БАЛЛОВ, 8 класс

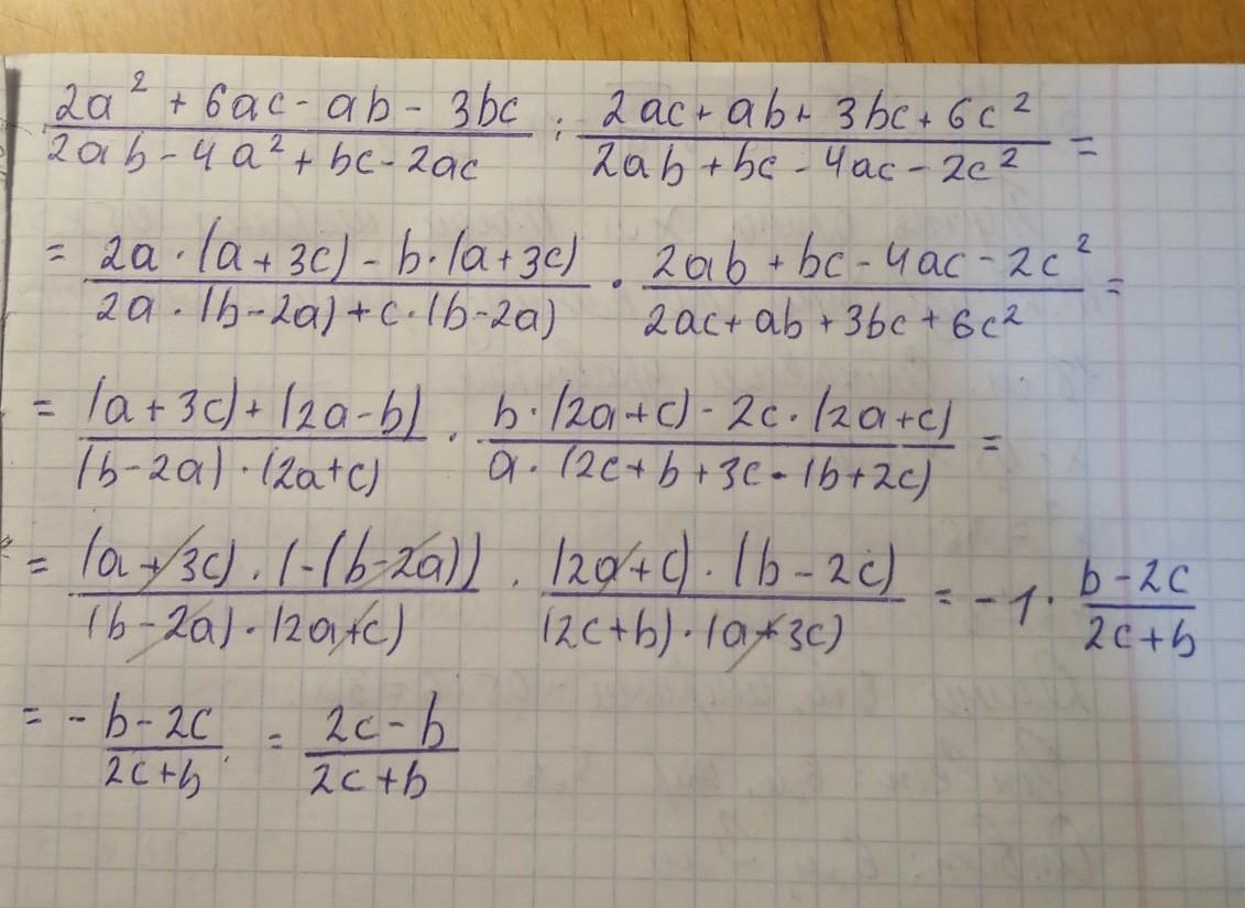
Решите пример, указанный на фотографии

Приложения:

Ответы

Ответ дал: lidiasaraa3
0

....................

Приложения:
Ответ дал: nastyabarkovskaya44
0

Ответ:

вот пример со всеми действиями.

Приложения:
Вас заинтересует