Решите задачу,тема: сложение и вычитание рациональных дробей с одинаковыми знаменателями.
Приложения:

Ответы
Ответ дал:
0
Ответ:
Объяснение:
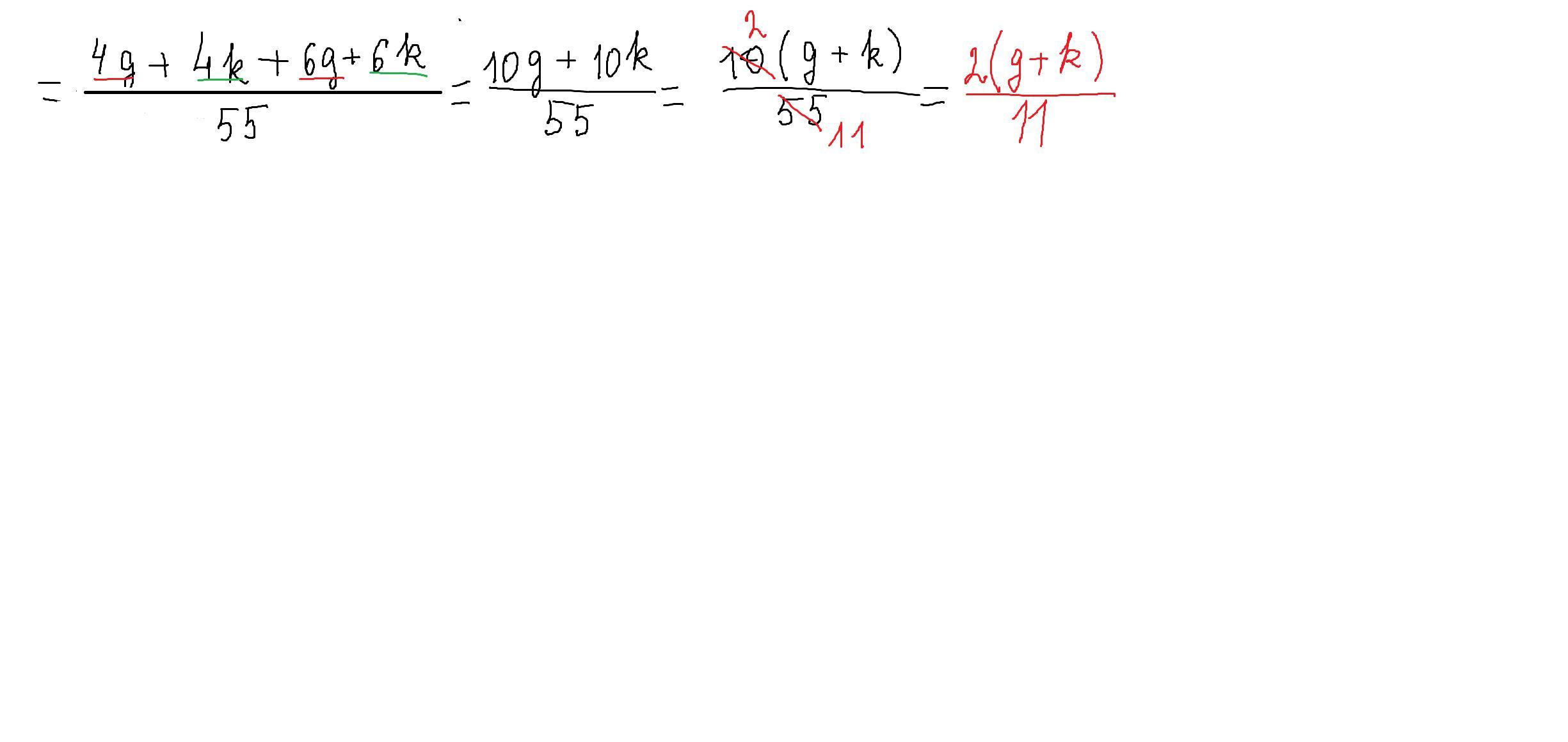
смотри решение внизу
Приложения:

gdfgdfgdffgfd:
Объяснение где?
Вас заинтересует
1 год назад
1 год назад
2 года назад
2 года назад
3 года назад
3 года назад
8 лет назад
8 лет назад