• Предмет: Математика
  • Автор: svetapan
  • Вопрос задан 2 года назад

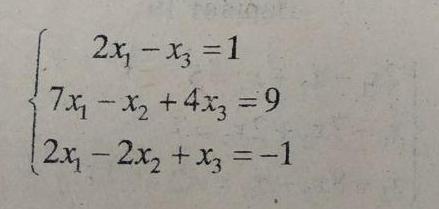
Помогите пожалуйста решить тремя способами:
1)методом Гаусса
2)методом Крамера
3)матричным методом

Приложения:

Ответы

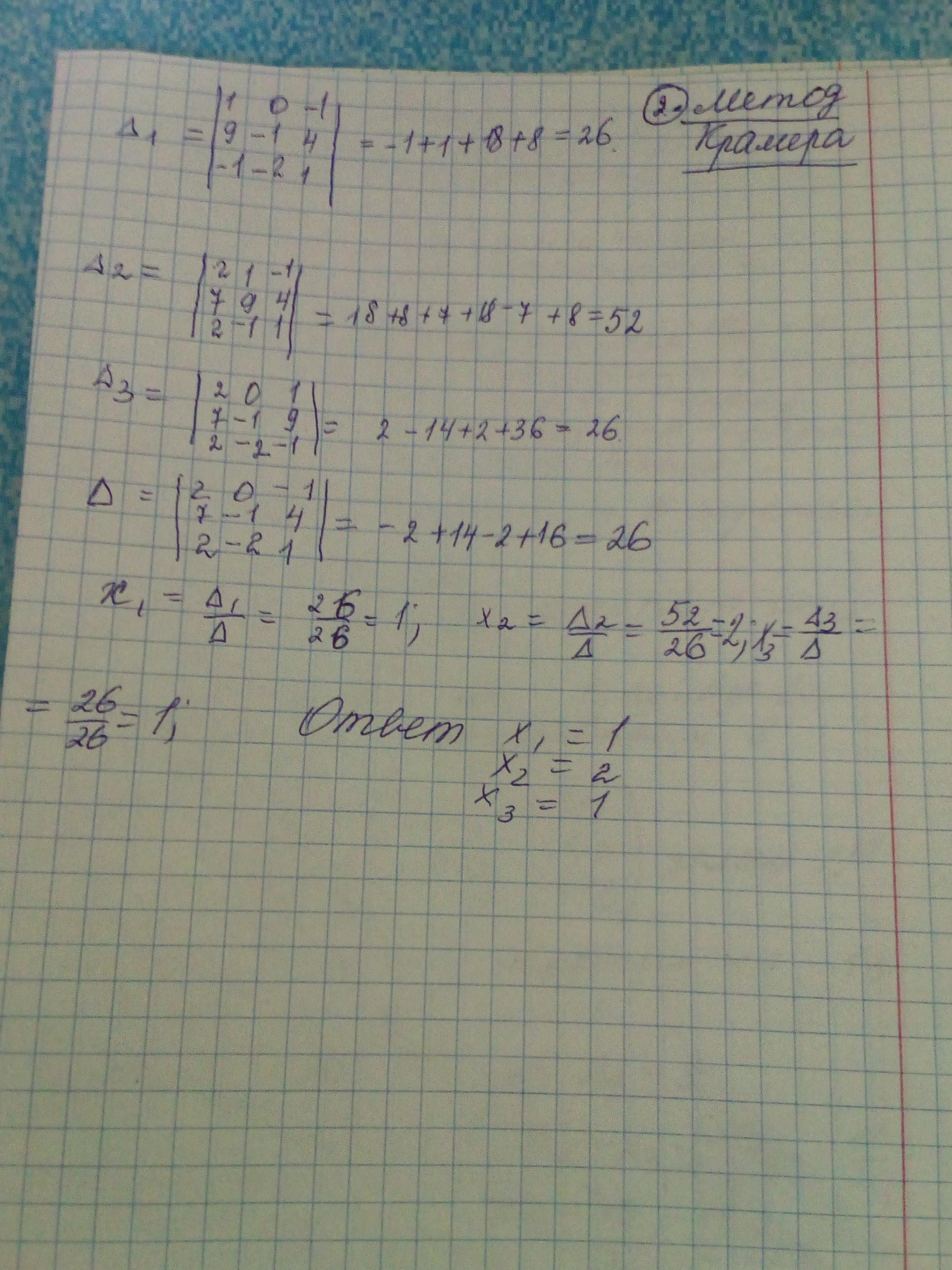
Ответ дал: rusfiz
0

Ответ:

...........................

Приложения:
Ответ дал: Аноним
0

Ответ:

Пошаговое объяснение:

Приложения:
Вас заинтересует