• Предмет: Алгебра
  • Автор: armykz
  • Вопрос задан 2 года назад

Помогите пожалуйста!
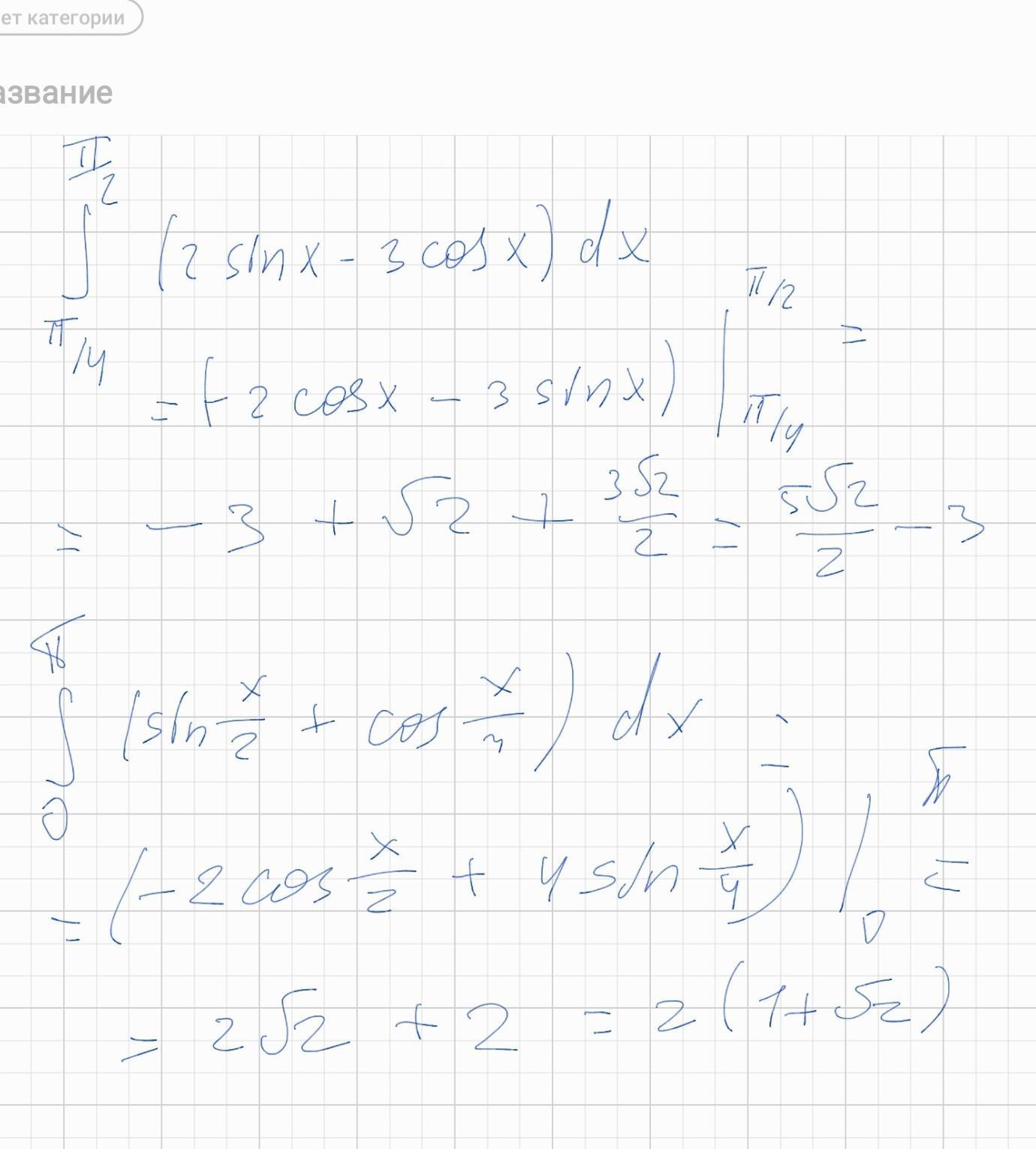
Интеграл от Пи/2 до Пи/4 (2sinx-3cosx)dx;

Интеграл от Пи до 0
(sinx/2+cos x/4)dx

Буду благодарна​♡​

Ответы

Ответ дал: rusfiz
6

Ответ:

......................

Приложения:
Вас заинтересует