Ответы
Ответ дал:
0
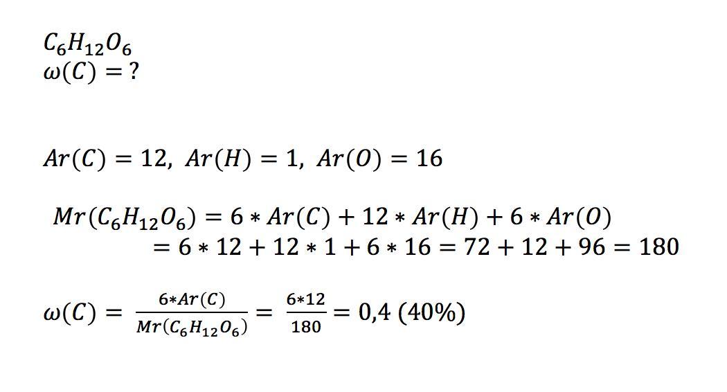
Ответ:
40%
Объяснение:
Приложения:

ioluu:
https://znanija.com/task/32927793
Вас заинтересует
1 год назад
1 год назад
2 года назад
2 года назад
3 года назад
3 года назад