• Предмет: Алгебра
  • Автор: Monteteam
  • Вопрос задан 2 года назад

Алгебра 8 класс. ПОМОГИТЕ ПОЖАЛУЙСТА. Срочно надо

Приложения:

Ответы

Ответ дал: whoiam02
1

Объяснение:

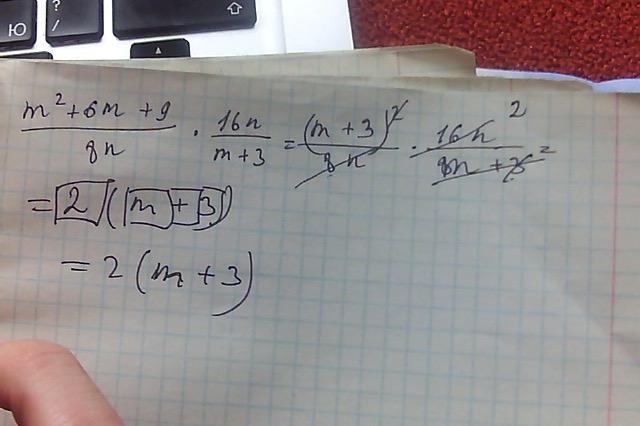
Решение на фото.......

Приложения:
Ответ дал: Dmitry1986
1

Вот я сам решил ваш ответ задания. ЛЕГКО!!!!

Приложения:

Dmitry1986: 1 первый
Monteteam: Спасибо, с другими поможете?
Вас заинтересует