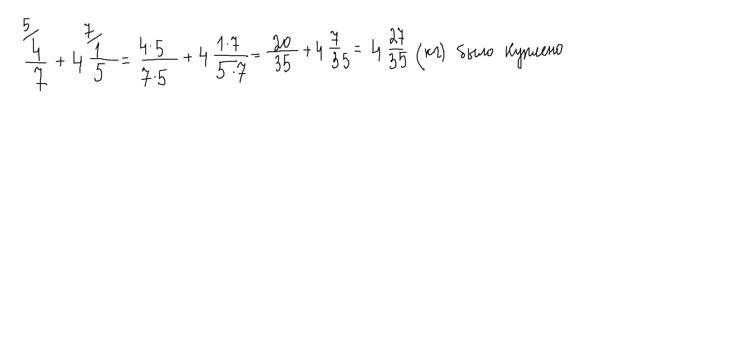
в первый день повар израсходовал 4/7 а во второй оставшиеся 4 целых 1/5 сколько килограммов свеклы было куплено?
Ответы
Ответ дал:
5
Ответ: 4 27\35 кг свеклы было куплено
Пошаговое объяснение:
решение внизу
Приложения:

Вас заинтересует
1 год назад
2 года назад
2 года назад
3 года назад