• Предмет: Математика
  • Автор: ratatatam1
  • Вопрос задан 2 года назад

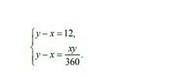
решите систему уравнений​

Приложения:

Ответы

Ответ дал: jrebinolik
1

Пошаговое объяснение:

\left \{ {{y-x=12} \atop {y-x=\frac{xy}{360} }} \right. => \left \{ {{y=12+x} \atop {360y-360x=xy}} \right.

Решаем уравнение:

360(12+x)-360x=x(12+x)

4320+360x-360x=12x+x^{2}

4320-12x-x^{2} =0

x^{2} +12x-4320=0

D=\sqrt{ 144+17280}=\sqrt{17424} = 132

x1=\frac{-12+132}{2} =60

x2=\frac{-12-132}{2} =-72

Подставить эти значения в уравнение y=12+x

y1=12+60

y2=12-72

y1=72

y2=-60

Ответ : (x1; y1) = (60; 72)

(x2; y2) = (-72; -60)

Вас заинтересует