• Предмет: Математика
  • Автор: MyNikIsNik
  • Вопрос задан 2 года назад

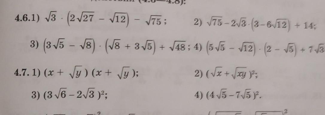
пожалуйста помогите дам 30 баллов,и можно решение
4.6(ч) 4.7(ч)​

Приложения:

Ответы

Ответ дал: PASHAS2007
0

Пошаговое объяснение:

некит ты штоль? некитоссссс


MyNikIsNik: нет я не некит
PASHAS2007: cjhb
PASHAS2007: сори
PASHAS2007: попробую помочь а в чё м заключался вопрос?
MyNikIsNik: нужно выполнить действия
MyNikIsNik: я сам не знаю как меня в школе не было
Вас заинтересует