• Предмет: Математика
  • Автор: shamilmollaev98
  • Вопрос задан 2 года назад

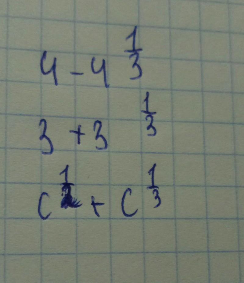
срочно помогите упростить

Приложения:

Ответы

Ответ дал: Alexr7
1

Ответ:

1) 1/3

2) 6*1/3

3)2c*5/6

Пошаговое объяснение:

1) Отнимаем целые числа. Оставляем дробные. 4-4*1/3. Получаем только дробные числа. 1/3

2) Прибавляем целые числа. 3+3*1/3=6*1/3

3)Приводим общие знаменатели для дробных частей.

Вас заинтересует