Ответы
Ответ дал:
0
Ошибка во время сохранения ответа
Решение должно иметь от 20 до 5000 символов
Решение должно иметь от 20 до 5000 символов
Приложения:
Ответ дал:
0
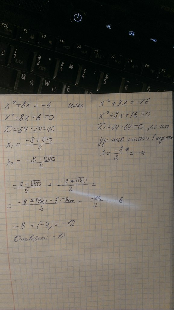
(x+3)(x+5)*(x+1)(x+7)=9
(x^2+8x+15)(x^2+8x+7)=9
y=x^2+8x; (y+15)(y+7)=9
y^2+22y+105-9=0
D1=121-96=25=5^2
y1=(-11-5)=-16; x^2+8x=-16 ; (x+4)^2=0; x=-4
y2=-11+5=-6 x^2+8x=-6; x^2+8x+6=0; D1=16-6=10; x1 =-4-корень из 10
х2=-4+корень из 10
x1+x2+x3=-4+(-4-корень из 10)+(-4+корень из 10)=-12
(x^2+8x+15)(x^2+8x+7)=9
y=x^2+8x; (y+15)(y+7)=9
y^2+22y+105-9=0
D1=121-96=25=5^2
y1=(-11-5)=-16; x^2+8x=-16 ; (x+4)^2=0; x=-4
y2=-11+5=-6 x^2+8x=-6; x^2+8x+6=0; D1=16-6=10; x1 =-4-корень из 10
х2=-4+корень из 10
x1+x2+x3=-4+(-4-корень из 10)+(-4+корень из 10)=-12
Приложения:
Вас заинтересует
3 года назад
3 года назад
8 лет назад
11 лет назад
11 лет назад
11 лет назад