• Предмет: Алгебра
  • Автор: happiness1415
  • Вопрос задан 2 года назад

решите линейное уравнение 2/7x=0​

Ответы

Ответ дал: keinelust1
7

Ну, че-то как-то так))

Приложения:

happiness1415: спасибо)
chermishan: поставь лучший ответ, если не сложно, кто по-твоему мнению лучше тебе помог.
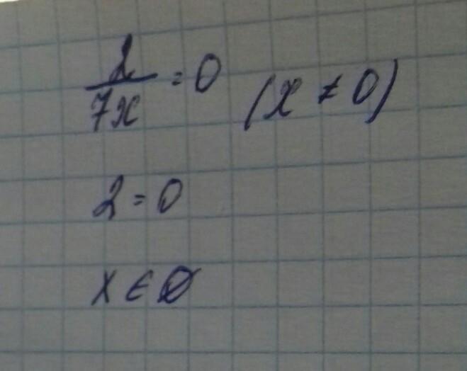
Ответ дал: chermishan
2

Объяснение:

ОДЗ - область допустимых значений.

поскольку знаменатель не может равняться 0, записываем его в ОДЗ. (потому что на 0 делить нельзя)

А затем решаем оставшееся уравнение. => тем самым приходим к заключению , что 2 = 0, но такого не может быть, поэтому х равен множественной пустоте.

Приложения:
Вас заинтересует