Ответы
Ответ дал:
1
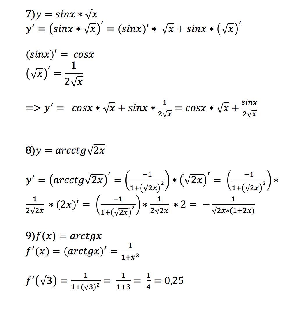
Ответ:
Пошаговое объяснение:
Приложения:

leoniaboleeff:
Спасибо
Вас заинтересует
1 год назад
2 года назад
2 года назад
3 года назад
3 года назад
8 лет назад