Ответы
Ответ дал:
1
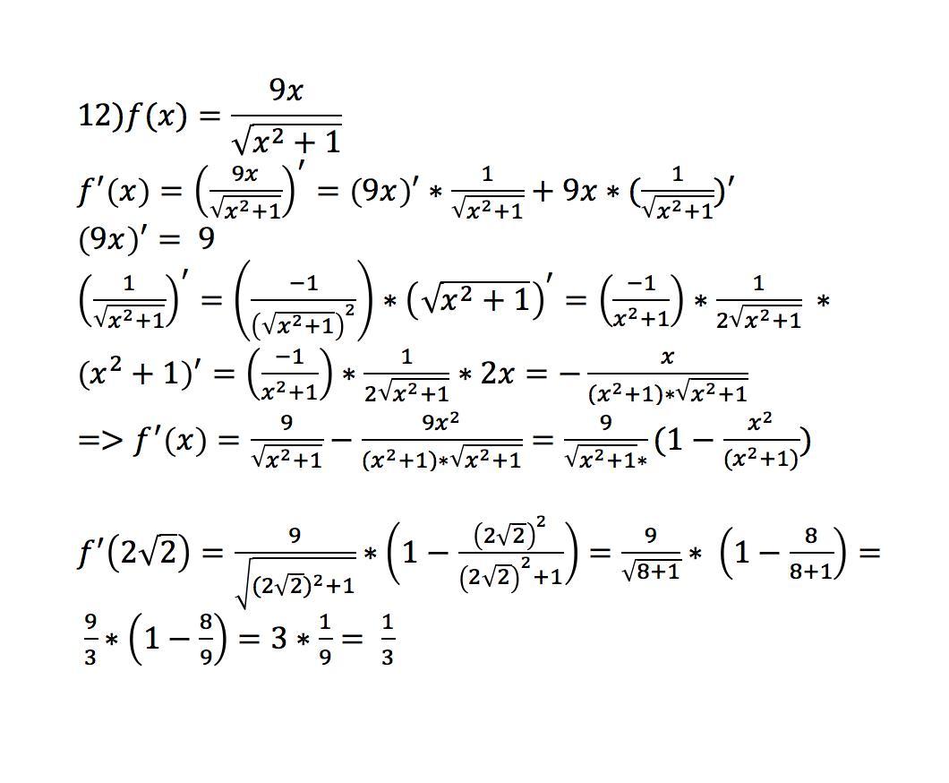
Ответ:
Пошаговое объяснение:
Приложения:


leoniaboleeff:
Спасибо тебе большое
Ответ дал:
0
Ответ решение во вложении
Приложения:

Вас заинтересует
1 год назад
1 год назад
2 года назад
3 года назад
8 лет назад