• Предмет: Алгебра
  • Автор: trug18
  • Вопрос задан 2 года назад

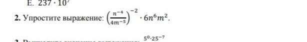
2 Упростите выражение​

Приложения:

Ответы

Ответ дал: Margarita147
0

Ответ:

96m⁴n¹⁴-240n¹⁴+150m²n¹⁴

Объяснение:

Вас заинтересует