• Предмет: Алгебра
  • Автор: Аноним
  • Вопрос задан 2 года назад

свойства степеней.Объясните как решать примеры с этой темой,пж.Даю 45 баллов
Алгебра​

Ответы

Ответ дал: natalka123456789
1

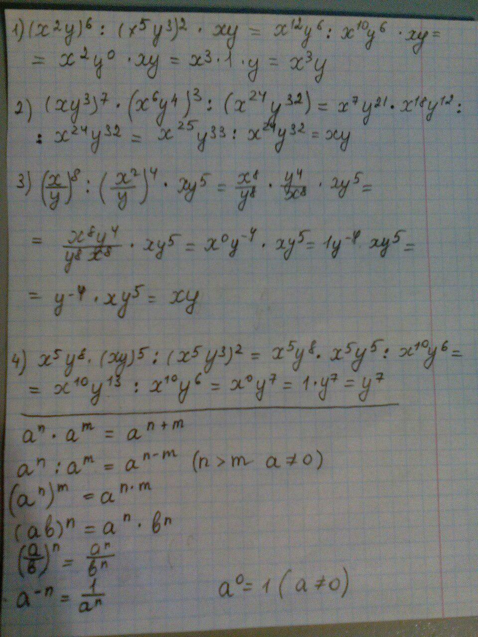
Решение примеров со степенями опирается на   определенные формулы. В приложении выложу определенные примеры вместе с формулами, с помощью которых они решаются.

Надеюсь, это Вам поможет.

Если что-то непонятно, спрашивайте. С удовольствием отвечу.

Приложения:

Аноним: Спасибо!А формулы там где вы писали a:B?
natalka123456789: формулы записаны либо перед примерами либо после них...там числа обозначеньі как а и b в степенях m или n
Вас заинтересует