• Предмет: Математика
  • Автор: dariahrolenko
  • Вопрос задан 2 года назад

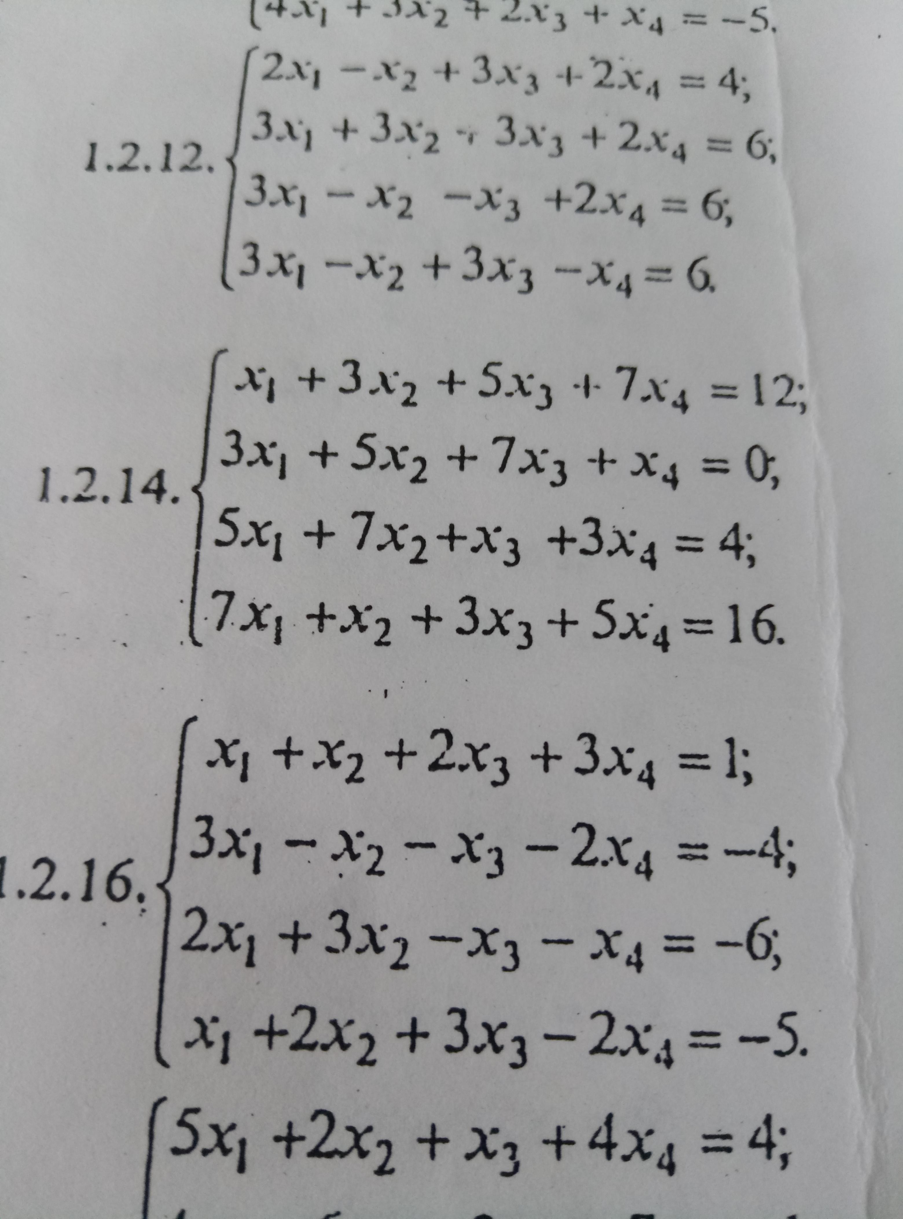
Хелп с матрицамии СРОЧНООО

Приложения:

Ответы

Ответ дал: DmitryMalfoys
0

Ответ:

Пошаговое объяснение:

Вас заинтересует