Ответы
Ответ дал:
1
Ответ:
вооооооттттттьььььь
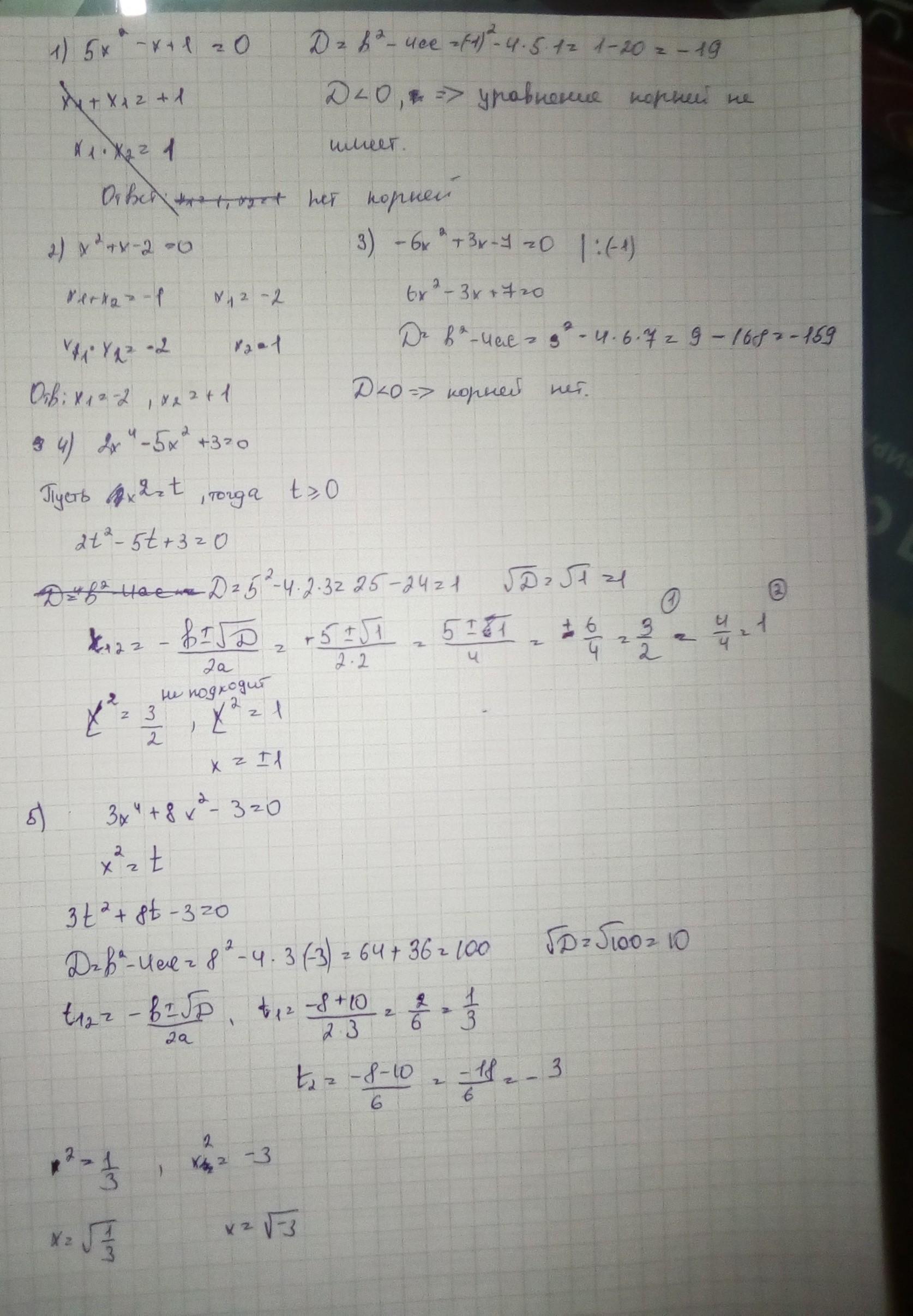
Приложения:

top22833744:
спасибо большое)
Вас заинтересует
1 год назад
1 год назад
2 года назад
2 года назад
3 года назад
8 лет назад