• Предмет: Математика
  • Автор: 090909260
  • Вопрос задан 2 года назад

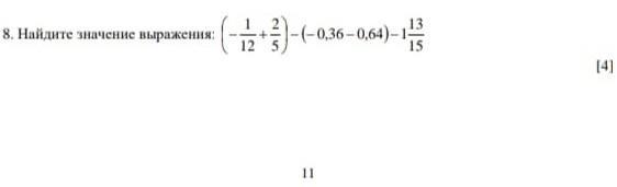
Помогите пожалуйста у меня завтра Сор​

Приложения:

Ответы

Ответ дал: aruna0602kz
1

Ответ: будет 419 я так посчитала

Пошаговое объяснение:


090909260: спасибо
090909260: а как решалось?
Вас заинтересует