• Предмет: Физика
  • Автор: esnikolaeva04
  • Вопрос задан 2 года назад

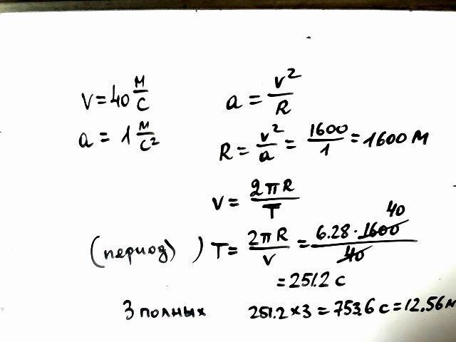
Автомобиль едет по кольцевой дороге имеющей форму окружности со скоростью 144 км в час при этом модуль ускорения автомобиля в 10 раз меньше модуля ускорения свободного падения.
а) За сколько времени автомобиль сделает три полных круга?
б) Чему равен диаметр окружности?

Ответы

Ответ дал: elimofetoyp1j9
4

Ответ:

Объяснение:

Автомобиль едет по кольцевой дороге имеющей форму окружности со скоростью 144 км в час при этом модуль ускорения автомобиля в 10 раз меньше модуля ускорения свободного падения.

а) За сколько времени автомобиль сделает три полных круга?

б) Чему равен диаметр окружности?

Приложения:

esnikolaeva04: Огромное спасибо!!!!!
elimofetoyp1j9: )))))
Вас заинтересует