• Предмет: Физика
  • Автор: homer2172
  • Вопрос задан 2 года назад

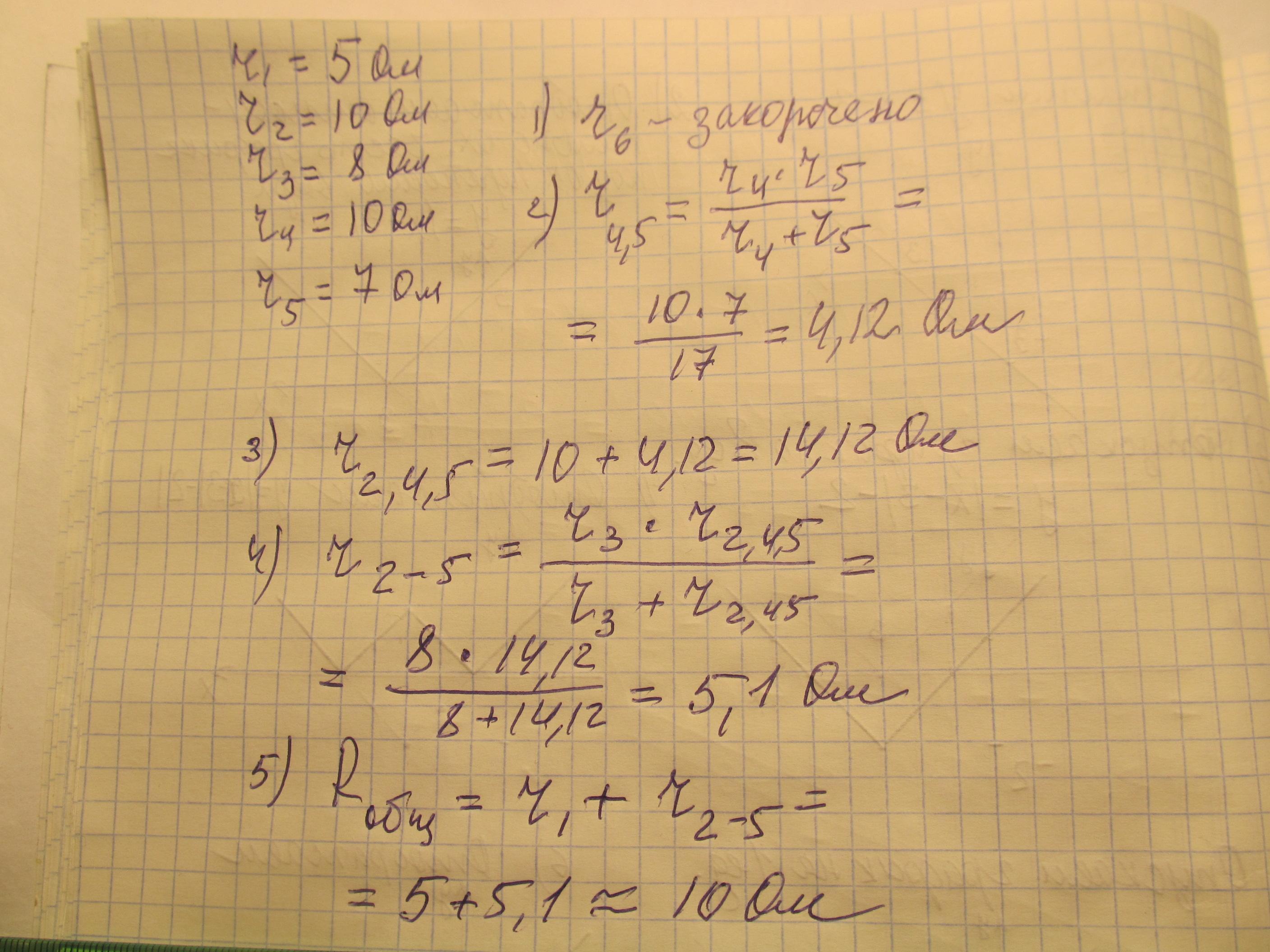
Всем привет, даю 50 баллов за правильный ответ,просто срочно надо сделать...Во вложении задание, Нужно вычислить только ОБЩЕЕ сопротивление СХЕМЫ ОТНОСИТЕЛЬНО ЗАЖИМОВ a и b. РИСУНОК 5.

Приложения:

Ответы

Ответ дал: Аноним
2

Решение на фото/////

Приложения:

homer2172: А токи во всех ветвях сможете найти, нашел, но для проверки просто.
Вас заинтересует