• Предмет: Алгебра
  • Автор: liziasiss7gmailcom
  • Вопрос задан 2 года назад

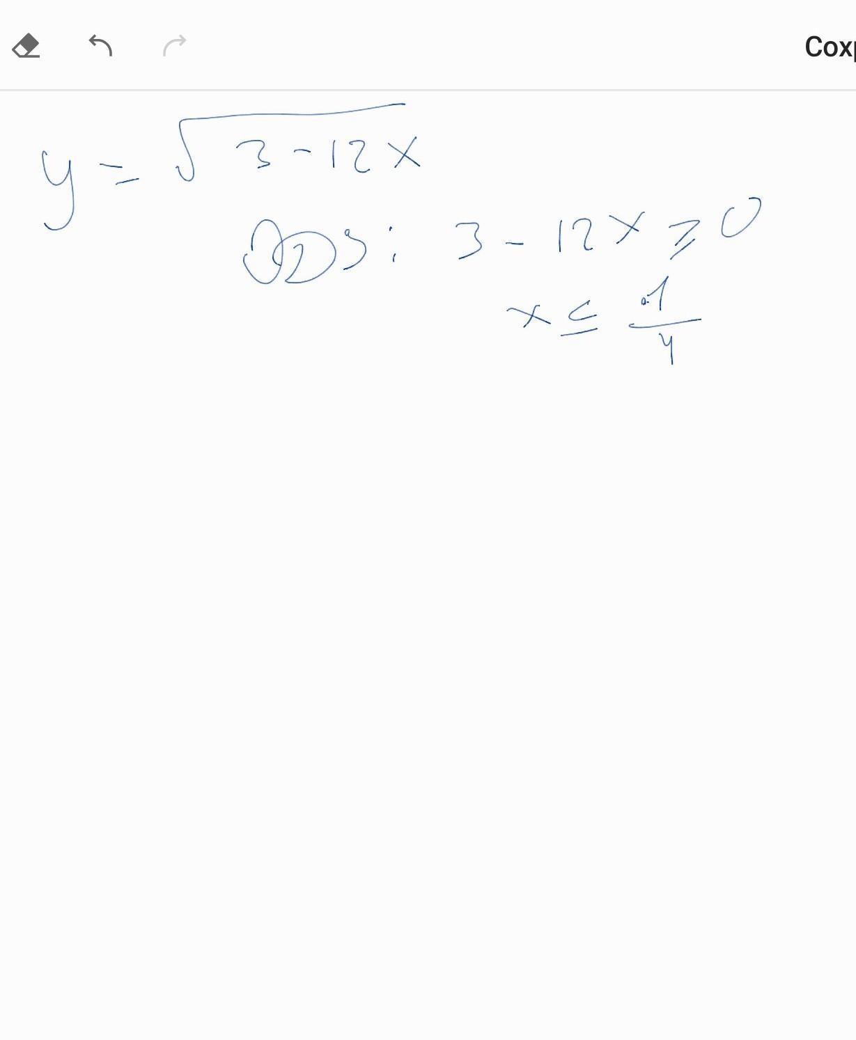
фото в закрепе, срочно помогите​

Приложения:

Ответы

Ответ дал: rusfiz
1

Ответ:

.........................

Приложения:

liziasiss7gmailcom: А это будет (-бесконечность;0,25] или [0,25; + бесконечность )
Вас заинтересует