• Предмет: Математика
  • Автор: ZIStrong
  • Вопрос задан 2 года назад

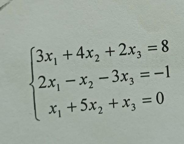
3x1 + 4x2 + 2x3 = 8 2x1 - x2 - 3x3=-1 x1+ 5x2 + x3 =0 ​

Приложения:

Ответы

Ответ дал: PlainTrs
1

Ответ:

Пошаговое объяснение:

2x1-x2+x3=5

3x1+4x2-2x3=-3

x1-3x2+x3=4

нипишем расширенную матрицу:

2 -1  1  |  5

3  4 -2  | -3

1 -3  1  |  4

НАЙДЕм определитель матрицы

     | 2 -1  1 |

∆= | 3  4 -2 |  = 8+2-9-4-12+3=-12

     | 1 -3  1 |

найдем определитель ∆1:

|  5 -1  1 |

| -3  4 -2 | = 20+8+9-16-30-3=-12

|  4 -3  1 |

найдем определитель ∆2:

| 2  5   1 |

| 3 -3  -2 | = -6+(-10)+12+3+16-15=0

| 1  4   1 |

найдем определитель ∆3:

| 2 -1   5 |

| 3  4  -3 | = 32+3-45-20-18+12=-36

| 1 -3   4 |

х1=-12/(-12)=1

х2=0/(-12)=0

х3=-36/(-12)=3

ответ: х1=1, х2=0. х3=3

Вас заинтересует