• Предмет: Алгебра
  • Автор: Sabina140904
  • Вопрос задан 2 года назад

Добрые люди,прошу помогите мне. Никак не могу понять как решить задачу и как составить условие задачи (номер 5 на фото)

Приложения:

Ответы

Ответ дал: parus77
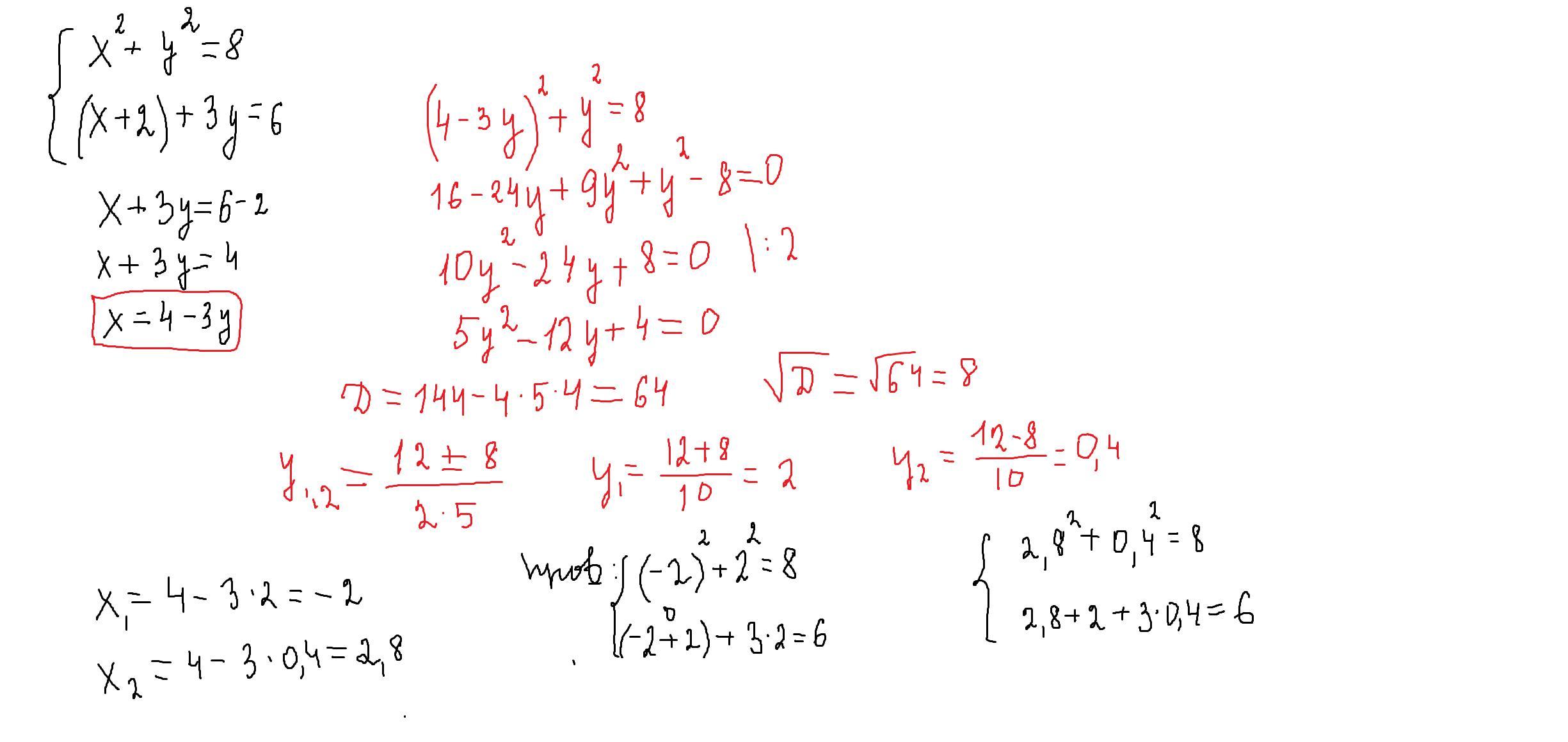
2

Эта задача решается составлением системы уравнений.

Пусть 1 число -Х

второе число -У

по условию сост.систему уравнений

Х ²+ У²=8

(Х+ 2) +3 У=6

решение смотри внизу.

Ответ:  это первая пара чисел   (-2;2)  и вторая (2,8;0,4)

Приложения:
Ответ дал: matilda17562
1

Ответ:

-2 и 2 или 2,8 и 0,4.

Объяснение:

Пусть х и у - данные числа. По условию

х^2 + у^2 = 8 и (х + 2) + (3у) = 6.

Составим и решим систему уравнений:

{х^2 + у^2 = 8,

{х + 2 + 3у = 6;

{х^2 + у^2 = 8,

{х = 4-3у;

{(4-3у)^2 + у^2 = 8,

{х = 4-3у;

Решим отдельно первое уравнение:

(4-3у)^2 + у^2 = 8

16+9у^2-24у+у^2-8=0

10у^2 - 24у + 8 = 0

5у^2 - 12у + 4 = 0

D = 144 - 80 = 64;

y1 = (12+8)/10 = 2;

y2 = (12-8)/10 = 0,4.

Если второе число у=2, то первое равно х = 4-3у = 4 - 3•2 = -2;

Если второе число у=0,4, то первое равно х = 4-3у = 4 - 3•0,4 = 4 - 1,2 = 2,8.

Ответ: -2 и 2 или 2,8 и 0,4.

Проверим полученный результат:

1. (-2)^2 + 2^2 = 8 и (-2 + 2) + (3•2) = 6 - верно.

2. 2,8^2 + 0,4^2 = 8 и (2,8 + 2) + (3•0,4) = 6 - верно.

Вас заинтересует