Модераторы помогите пожалуйста в течение 30 минут!!!!
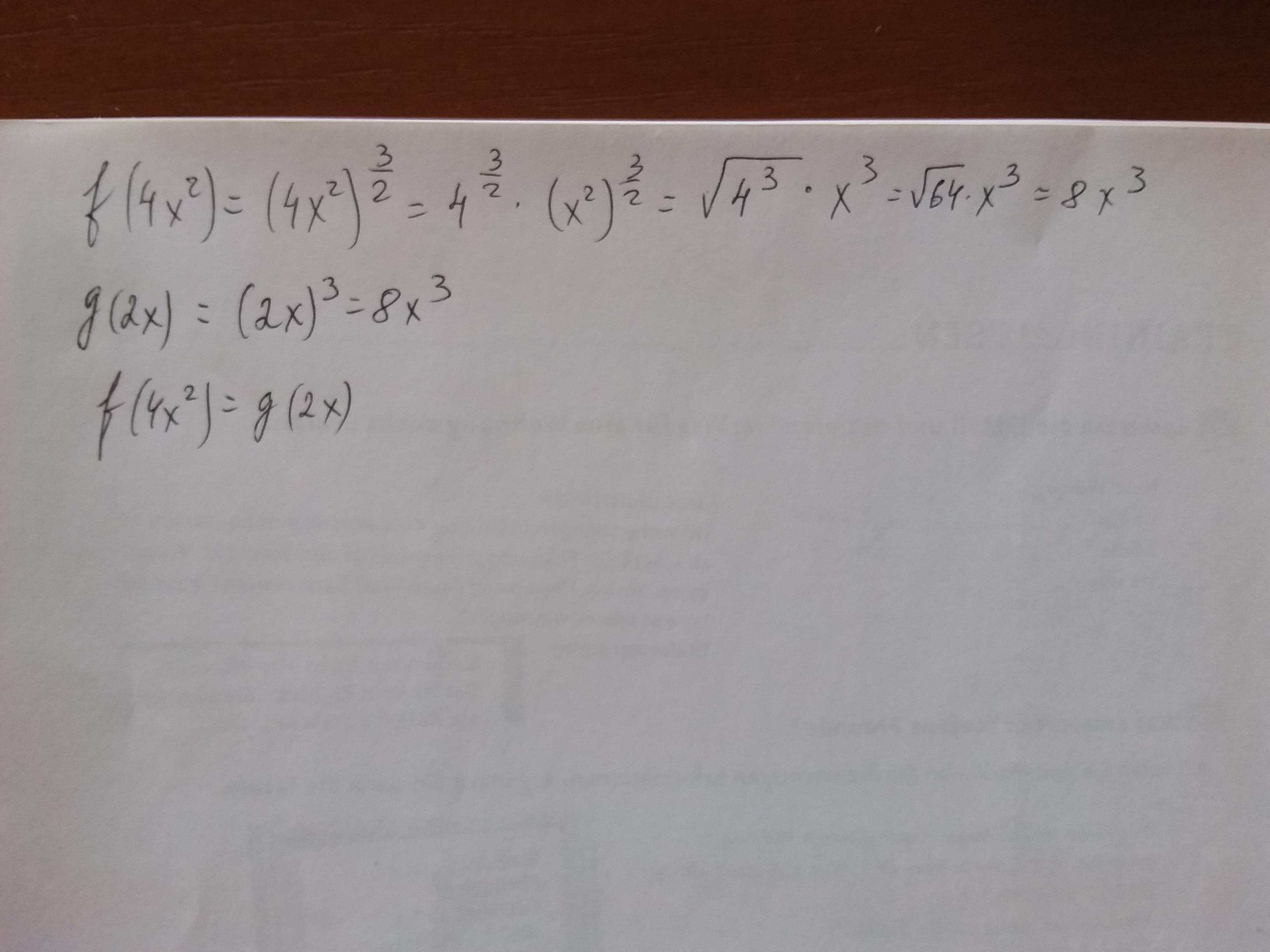
Известно,что f(x) = x^3/2, g(x) = x^3
Докажите,что f(4x^2) = g(2x)
Ответы
Ответ дал:
2
..............................
Приложения:

youngBewhy:
спасибо! спасибо огромнейшее!
Вас заинтересует
1 год назад
1 год назад
2 года назад
2 года назад
3 года назад
3 года назад
8 лет назад