• Предмет: Алгебра
  • Автор: Master1337228337988
  • Вопрос задан 2 года назад

Помогите пожалуйста :3 30 баллов даю
Алгебра,9 класс

Приложения:

Ответы

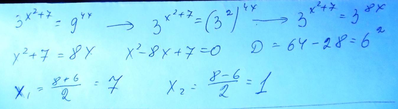
Ответ дал: miron2077
0

!!!!!!!!!!!!!!!!!!!!!!!!!!!!!!!!!!!!!!!!!!!!1

Приложения:
Вас заинтересует