• Предмет: Алгебра
  • Автор: UlyaMilano
  • Вопрос задан 11 лет назад

Очень прошу!!!!
вычислите:
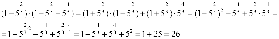
(1+5 в степени 2/3)*(1-5 в степени 2/3 + 5 в степени 4/3)

Ответы

Ответ дал: Tangodown
0
Проверь на всякий случай.
Приложения:
Вас заинтересует