Решите пожалуйста СРОЧНО.
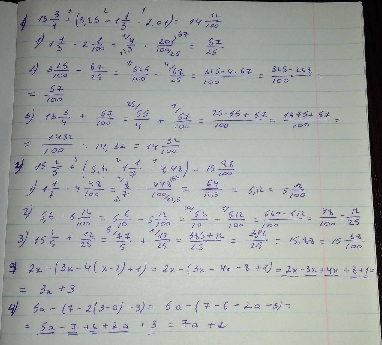
1) 13¾+(3,25-1⅓×2,01)
2) 15⅖+(5,6-1¹/⁷×4,48)
3) 2х-(3x-4(х-2)+1)
4) 5а-(7-2(3-а)-3)
Ответы
Ответ дал:
1
Ответ:
на фото...
____________________________
Приложения:

Вас заинтересует
1 год назад
1 год назад
2 года назад
2 года назад
3 года назад
3 года назад
8 лет назад
8 лет назад