• Предмет: Алгебра
  • Автор: MartaMiller
  • Вопрос задан 11 лет назад

Товарищи, пожалуйста, решите этооо! 15 баллов

4 sin^4 x = 11 cos^2 x - 8

Ответы

Ответ дал: Гоша68
0
4(1-cos^2x)^2=11cos^2x-8
cos^2x=t
4(1-t)^2=11t-8
4+4t^2-8t=11t-8
4t^2-19t+12=0
t=1/8[19+-13]
t=4  t=6/8=3/4
cos^2x=3/4
cosx=sqrt(3)/2  x=+-П/6+2Пk
cosx=-sqrt(3)/2 x=(П+-П/6)+2Пk
Ответ дал: MartaMiller
0
Спасибо большое :)
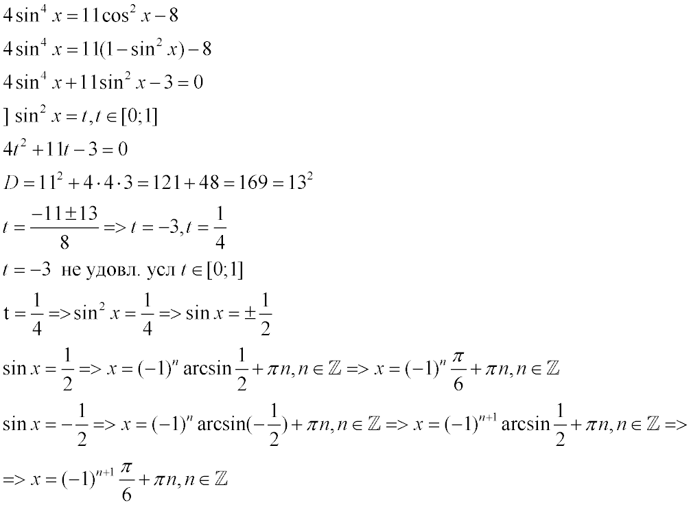
Ответ дал: Tangodown
0
Проверь на всякий случай.
Приложения:
Ответ дал: MartaMiller
0
Огромное тебе спасибо!!!
Ответ дал: Tangodown
0
На здоровье
Вас заинтересует